| 基于2种材质FO膜对OMBR运行特性影响的研究 | 
| 吴安安,李带,黄观超,崔嘉吉,胡玥,向乾伟,汪童,段文松 | 
| Research on influence of two type material of forward osmosis membrane to operating characteristics of the osmotic membrane bioreactor | 
| An'an Wu,Dai Li,Guanchao Huang,Jiaji Cui,Yue Hu,Qianwei Xiang,Tong Wang,Wensong Duan | 
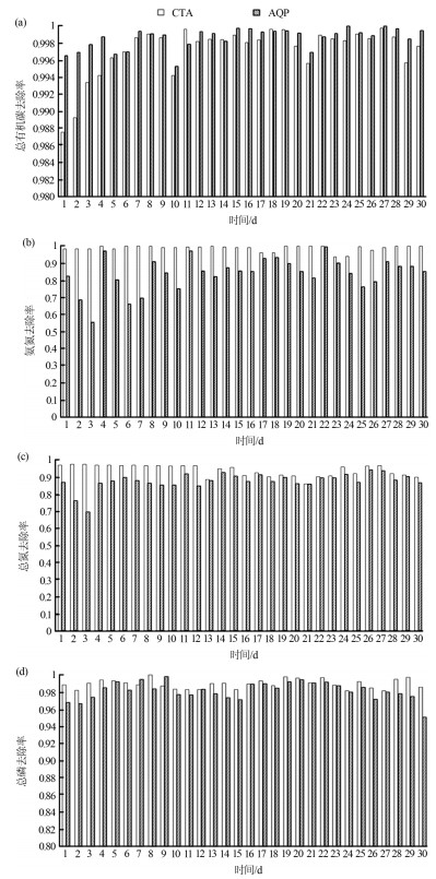
| 图3 不同膜组OMBR处理模拟生活污水的效果 | 
|   |