新型黄原酸盐重金属离子螯合剂的合成 
					
										
							Synthesis of a novel xanthate heavy metal ion chelating agent 
						
																收稿日期: 2020-08-14
| 基金资助: |  | 
Received: 2020-08-14
				 
				
									 以六羟甲基三聚氰胺、二硫化碳和氢氧化钠为原料,合成了一种新型重金属离子螯合剂2,4,6-(N-五羟甲基氨基)-2-(N-甲基黄原酸钠)-1,3,5-三嗪。将乙基黄药和该螯合剂分别用于处理50 mg/L Cu2+模拟重金属废水,通过单因素实验法研究了其对Cu2+的去除效果。平行对比实验结果表明,在pH=6,反应温度25℃,反应时间30 min的条件下,该螯合剂对Cu2+的去除率达到99.25%,而在对应条件下乙基黄药对Cu2+的去除率仅有75.08%。
										关键词:
																																	 
																											
								 A novel heavy metal ion chelating agent was prepared based on hexamethylol melamine, carbon disulfide and sodium hydroxide as basic materials. Ethyl xanthate and the chelating agent were used to treat 50 mg/L Cu2+ simulated heavy metal wastewater. The effect of Cu2+ removal by single factor experiment was studied. The results of parallel comparison experiments showed that under the conditions of pH=6, reaction temperature 25℃, and reaction time 30 min, the removal rate of Cu2+ by the chelating agent reached 99.25%. However, the removal rate of Cu2+ by ethyl xanthate was only 75.08% under the corresponding conditions.
																																												Keywords:
																				
																							
本文引用格式
							孙思琦, 黄齐茂. 
								Sun Siqi. 
1 实验部分
1.1 实验仪器与药品
仪器:Nicolet6700型傅里叶红外光谱仪、UV-2450紫外分光光度计、Thermo LTQ XL型液相色谱-质谱联用仪、原子吸收光谱仪、pH计、循环水式多用真空泵、真空干燥箱、高低温循环装置、集热式恒温加热磁力搅拌器、电子分析天平、增力无极恒速搅拌器、六联电动搅拌器。
试剂:氢氧化钠、二硫化碳、二甲基亚砜(DMSO)、无水乙醇、硫酸、CuSO4·5H2O均为分析纯,六羟甲基三聚氰胺(HMM)为工业级(江苏高鸣化工集团),乙基黄药自制。
1.2 实验方法
1.2.1 PMAMXT的合成
PMAMXT合成路线如图1所示。将15 g HMM加入装有200 mL DMSO的三口烧瓶中,搅拌30 min至溶解。升温至60 ℃,加入1.96 g氢氧化钠,反应1.5 h,至溶液变为白色浑浊。降温至20 ℃,缓慢滴加3.72 g二硫化碳,在30 min内滴完,继续升温至30 ℃回流反应5 h,至固体析出。反应结束后将固体抽滤,用无水乙醇洗涤3次,在40 ℃下真空干燥2 h,得白色固体粉末,即为PMAMXT。进行红外光谱、紫外光谱以及电喷雾质谱测试。
图1
1.2.2 螯合沉淀性能测定
称取一定量的硫酸铜配制成50 mg/L的模拟Cu2+废水,每次取100 mL倒入6个烧杯中,调节模拟废水至适宜pH,加入一定量的螯合剂,使用六联电动搅拌器在200 r/min下快速搅拌2 min,在125 r/min下中速搅拌6 min,在80 r/min下慢速搅拌10 min,静置一段时间,先经定性滤纸再经0.45 μm滤膜过滤,最后在原子吸收光谱仪上测定剩余Cu2+浓度,实验分别考察PMAMXT在不同的pH、投加量、反应时间以及反应温度等方面对Cu2+去除率的影响,同时与乙基黄药进行对比实验。
2 结果与讨论
2.1 PMAMXT的表征
产物PMAMXT在3 334.62 cm-1处有宽峰,是由-OH伸缩振动引起。在2 829.12 cm-1处的中强峰为-CH2-对称伸缩振动所致。1 195.40 cm-1处的宽峰,即C-O-C的不对称伸缩振动。而三嗪环骨架振动对应于1 551.26、1 436.46 cm-1处宽而强的峰。三嗪环的面外环振动对应于767.40 cm-1处的宽峰。1 466.45 cm-1处的尖峰,为C-O=S的C-O吸收振动引起。1 026.53 cm-1处的尖峰,为C-S的红外特征吸收。813.46 cm-1处尖而强的峰,是C-S的变形振动引起的〔9〕。612.98 cm-1处的吸收峰,为C-S的伸缩振动〔10〕。以上官能团归属表明产物结构中含有黄原酸基团。
产物PMAMXT在正离子模式下的电喷雾质谱,准分子离子峰为438.60,为产物溶剂化后产生的峰,相对丰度72%。370.15处的峰是产物失去两分子羟基所致,相对丰度100%。
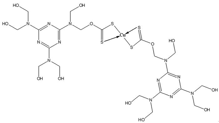
2.2 PMAMXT与Cu2+反应机理
PMAMXT与Cu2+的反应机理如图2所示。铜的原子序数为29,最外层电子排布式为3d104s1,当3d轨道和4s轨道失去2个电子后形成Cu2+。PMAMXT中的-CSS-基团上具有孤对电子,可占用Cu2+的空轨道。因此,当PMAMXT与Cu2+反应时,Cu2+以dsp2的杂化方式与4个硫原子形成配位键,得到PMAMXT-Cu螯合物,构型为平面四边形结构。另一方面,PMAMXT结构中具有-OH结构,具有一定吸附架桥作用,可将废水中的微小絮体聚集成较大体积的絮状物,在去除废水中Cu2+的同时,也能降低废水的浊度,达到净化废水的目的。
图2
2.3 pH对Cu2+去除率的影响
为了考察原水pH对重金属离子螯合沉淀的影响,分别设置不添加螯合剂和添加PMAMXT两组实验。配制50 mg/L Cu2+模拟废水,取100 mL分别倒入6个烧杯中,测定模拟废水pH为6,用0.1 mol/L的氢氧化钠和硫酸调节pH至2、4、6、8、10、12。反应温度25 ℃,反应时间30 min,静置过滤后用原子吸收光谱仪测定Cu2+剩余浓度。其结果如图3所示。
图3
如图3所示,不添加螯合剂且pH小于8时,Cu2+去除率随着pH的增大而逐渐增大,当pH达到8时,Cu2+去除率已达到99.38%,Cu2+剩余质量浓度为0.33 mg/L,当继续增大pH,Cu2+去除率基本保持不变,由此可知在pH从酸性调至弱碱性过程中,Cu2+会逐渐沉淀析出,溶液颜色也逐渐由淡蓝色变为深蓝色,最后变为褐色沉淀。当添加PMAMXT,反应温度25 ℃,反应时间30 min时,在pH从2调节至4的过程中,溶液从无沉淀析出到有部分沉淀析出,当pH为6时,已有大量沉淀析出,Cu2+去除率已达到90.96%,当pH从8调节至12过程中,溶液中已有大量褐色沉淀,去除率稳定在99%左右。
由以上两组对比实验结果可知,原水的酸碱性在一定程度上会对Cu2+去除率产生影响,且添加螯合剂PMAMXT可提升酸性条件下的Cu2+去除率,考虑到实际废水均为酸性,最后以pH为6作为实验条件。
2.4 投加量对Cu2+去除率的影响
配制2 L质量浓度为50 mg/L的Cu2+溶液,调节pH=6,按n螯合剂:nCu(Ⅱ)分别为1.27、1.91、2.54、3.17、3.81、4.44的比例将PMAMXT或乙基黄药分别加入到6个装有100 mL Cu2+溶液的烧杯中,控制反应温度为25 ℃,反应时间30 min,其结果如图4所示。
图4
由图4可知,当n螯合剂:nCu(Ⅱ)为1.91时,PMAMXT对Cu2+去除率达79.53%,乙基黄药对Cu2+去除率达59.52%。随着n螯合剂:nCu(Ⅱ)的增加,Cu2+去除率呈现上升趋势。当n螯合剂:nCu(Ⅱ)为3.81时,PMAMXT对Cu2+去除率达99.25%,乙基黄药对Cu2+去除率达75.08%。继续增大n螯合剂:nCu(Ⅱ),Cu2+去除率保持不变。综上,当反应时间为30 min时,n螯合剂:nCu(Ⅱ)为3.81是最佳值,即PMAMXT投加质量为1 200 mg/L,乙基黄药投加质量为480 mg/L。此时螯合剂对Cu2+的去除率达到最高。
2.5 反应时间对Cu2+去除率的影响
配制2 L质量浓度为50 mg/L的Cu2+溶液,调节pH=6,控制反应温度在25 ℃,投加1 200 mg/L PMAMXT和480 mg/L乙基黄药,反应时间分别为10、20、30、40、50、60 min,其结果如图5所示。
图5
由图5可知,在反应时间为10~60 min时,PMAMXT和乙基黄药均在最佳投加量下进行反应,反应30 min时,PMAMXT对Cu2+去除率达到99.25%,乙基黄药Cu2+去除率仅为75.08%,其Cu2+剩余质量浓度为13.05 mg/L。继续延长反应时间到40 min,PMAMXT对Cu2+去除率达到99.52%,乙基黄药达到85.91%,此时PMAMXT基本已将Cu2+去除完全,乙基黄药还未达到完全去除。在反应进行到50 min后,乙基黄药的Cu2+去除率达到99.29%,Cu2+剩余质量浓度达到0.371 2 mg/L,继续延长反应时间Cu2+去除率均基本保持不变。由两组对比实验可知PMAMXT对Cu2+的螯合沉淀析出速度要比乙基黄药更快,因为PMAMXT与乙基黄药相比,其分子质量更大,与Cu2+生成的螯合物体积更大,更容易从水溶液中沉淀析出。因此,在较短时间内PMAMXT对Cu2+的螯合沉降速度比乙基黄药更快。
2.6 反应温度对Cu2+去除率的影响
配制2 L质量浓度为50 mg/L的Cu2+溶液,调节pH=6,反应时间为50 min,投加1 200 mg/L PMAMXT和480 mg/L乙基黄药,控制反应温度分别为10、15、20、25、30、35 ℃,其结果如图6所示。
图6
由图6可知,当反应温度为10 ℃时,PMAMXT和乙基黄药对Cu2+的去除率分别为96.46%和96.36%。反应温度为25 ℃时,PMAMXT和乙基黄药对Cu2+的去除率分别为99.87%和99.80%。故反应温度对Cu2+去除率的影响较小,因此选择反应温度为25 ℃。
根据上述实验确定PMAMXT处理100 mL 50 mg/L Cu2+溶液的最佳反应条件:pH=6,投加量为1 200 mg/L,反应时间30 min,反应温度25 ℃,其对Cu2+去除率可达到99.2%。由PMAMXT与乙基黄药对比实验可知,PMAMXT在与Cu2+进行螯合反应的过程中,因其分子质量比乙基黄药大,产生的螯合物体积大,能较快从水溶液中沉淀析出。
2.7 处理成本对比分析
新型螯合剂所用主要原料为六羟甲基三聚氰胺,其为工业大宗试剂,成本价格在7 000元/t,价格低廉,来源广泛。根据上述实验结果进行两种螯合剂处理模拟含铜废水成本核算。新型螯合剂预估成本为7 220元/t,处理1 t模拟含铜废水所需投加量为1.20 kg;乙基黄药需配合絮凝剂一起使用,其中乙基黄药预估成本为7 620元/t,处理1 t模拟含铜废水所需投加量为0.48 kg,絮凝剂成本为2万元/t,需加入0.03%的絮凝剂。经核算,PMAMXT处理模拟含铜废水成本为8.66元/t,而传统螯合剂乙基黄药处理模拟含铜废水成本为9.66元/t,因此使用PMAMXT处理模拟含铜废水具有处理成本低、工艺操作简单等优点。
3 总结
以六羟甲基三聚氰胺(HMM)、氢氧化钠、二硫化碳为原料合成新型重金属离子螯合剂PMAMXT,通过红外光谱、紫外光谱以及电喷雾质谱表征其结构。用传统螯合剂乙基黄药与其进行螯合对比实验,结果表明在相同实验条件下,新型重金属螯合剂与重金属离子进行螯合反应后,在短时间内发生自絮凝沉降,分离效果显著,避免对环境造成二次污染。综上,该新型螯合剂在重金属废水处理方面具有很好的应用前景。
								参考文献 
								
									
									
								
							
							Assessment of heavy metal pollution from anthropogenic activities and remediation strategies:A review
[J].DOI:10.1016/j.jenvman.2019.05.126 [本文引用: 1]
A review on heavy metal pollution, toxicity and remedial measures:Current trends and future per-spectives
[J].
Removal of chelated heavy metals from aqueous solution:A review of current methods and mechanisms
[J].
The general use of i.r. spectral criteria in discussions of the bonding and structure of metal dithiocarbamates
[J].
Lead recovery from waste frit glass residue of electronic plant by chemical-electrochemical methods
[J].DOI:10.1007/BF02705667 [本文引用: 1]
/
| 〈 |  | 〉 | 
 
	

 
										 
										 
										 
										 
										 
										
 津公网安备 12010602120337号
 津公网安备 12010602120337号