考虑环境效益的政府补贴对再生水回用的影响
The impact of governmental subsidy on the promotion of recycled water reuse by involving environmental benefits
Received: 2020-12-20
Aim at the problem of insufficient power in the production and reuse of recycled water, a two-stage dynamic game model was established, in which the government directly subsidized recycled water enterprises and recycled water users, and environmental benefit of recycled water reuse was considered. The effects of different subsidy policies on the price and market demand of recycled water were compared and analyzed. The results showed that the subsidy intensity was positively correlated with the market demand and enterprise income under the two kinds of subsidies. The subsidy intensity was positively correlated with the price when the government subsidized the consumers of recycled water, and negatively correlated with the price when government subsidized the enterprises. The two kinds of subsidies could get the same total social benefit. However, subsidizing recycled water users would put more financial pressure on the government. The research provided reference for government policy and enterprise management decision-making in the initial stage of market operation of recycled water industry.
Keywords:
本文引用格式
高旭阔, 郭静, 刘奇.
Gao Xukuo.
近年来,随着我国城市化进程的加快以及污染问题的加剧,水资源的供需矛盾日益激化,这已经成为制约我国区域经济可持续发展的重要因素之一〔1〕。再生水因具有缓解城市供水压力、减少污染和保护环境的属性而逐渐被重视,被称为城市第二水源〔2〕。然而,由于我国再生水行业市场化程度低,社会资本积极性不高,再生水回用现状并不理想,缺乏鼓励企业和个人使用再生水的激励措施〔3〕。2015年我国发布了《水污染防治行动计划》简称“水十条”,文中指出将实行最为严格的水资源管理,让市场充分发挥作用,理顺水价结构,促进水务行业多元投资,建立有利于水环境治理的激励机制。因此,在目前我国再生水市场培育阶段,需要借助外力以推动再生水行业的发展。政府补贴作为宏观调控的重要手段,应充分发挥再生水行业向市场化发展的初级阶段所扮演的重要角色。在此背景下,探讨政府补贴对再生水生产企业和用户的影响已经成为相关学者在该领域研究的热点问题。
为促进再生水回用,国内外学者已经做了大量的研究。P. Rozin等〔4-6〕通过实验调查了城市居民对再生水的认知和接受程度,并分析了不同社会背景下,居民对再生水接受程度的差异以及影响因素,试图在需求侧寻找制约再生水回用的影响因素。高旭阔等〔7〕从供给侧出发,运用DEA模型和Malmquist指数模型对我国省域再生水项目的投资效率进行了测算,分析了省域再生水行业投资效率差异的原因,为部分省份再生水项目管理提供借鉴。范育鹏等〔8-9〕通过构建环境效益评价指标体系,运用机会成本法对再生水项目的环境效益进行了定量分析。随着城镇化进程进一步加快,水资源的供需矛盾逐渐加深,政府作为投资主体“大包大揽”的发展模式制约了再生水行业的发展。因此,我国再生水行业向市场化发展已是必然趋势。段涛等〔10-11〕从市场的角度提出了再生水可由运营企业自主定价,并结合我国实际情况提出了相适应的定价方法。吴艳等〔11〕构建了再生水企业和自来水企业的古诺模型,在竞争情形下分析了再生水回用量和价格的影响因素。管宏友等〔12〕构建了政府、污水处理厂、用户的三方静态博弈模型,分析了三者的决策行为。司言武〔13〕定性的分析了现阶段再生水行业政府补贴存在的不足,分别从融资渠道、融资手段、激励方式方面给出了政府补贴的建议。
以上学者的研究对本研究探讨政府补贴对再生水回用的影响具有重要参考价值。P. Rozin等〔4〕、高旭阔等〔7〕、范育鹏等〔8〕分别从用户的主观意愿、再生水项目的投资效率、再生水外部性的角度以期促进再生水的回用。但是,再生水回用牵涉到政府、再生水厂、用户等利益相关主体,而且用户的“理性无知”、政府的宏观调控和再生水行业的市场失灵,决定了单单考虑某一因素无法做到再生水的有效供给。因此,为了促进再生水的回用,应该系统的考虑各因素之间的相互作用关系。段涛等〔10-11〕从市场的角度,分别分析了再生水企业、用户二者和自来水企业、再生水企业、用户三者之间供给与需求的关系。然而,在再生水行业市场发展初期阶段政府决策对于再生水企业的影响至关重要。管宏友等〔12〕基于静态博弈讨论了政府和再生水企业的行为,但是静态博弈忽略了决策中的先后问题,在现实中企业往往根据政策变化来调整自身的策略。因此,随着再生水行业的发展,分析政府与再生水企业间的动态博弈问题更具有实际意义。此外,再生水回用受用户接受度的影响以及再生水回用会带来巨大的环境效益,将这些因素考虑到政府和再生水企业间的动态博弈模型中更具现实意义。因此,本研究以企业自主经营和再生水市场定价为前提,考虑用户对再生水的接受度、消费者剩余、市场容量、环境效益等因素,基于直接补贴再生水厂、直接补贴用户2种激励方式建立政府与再生水企业的二阶段动态博弈模型,比较政府的不同补贴政策对再生水回用的影响。
1 模型的符号说明和基本假设
1.1 模型的符号说明
pn:单位自来水的价格;pr:单位再生水的价格;qr:再生水的需求量;cr:单位再生水的生产成本;v:单位再生水的环境效益;πG:社会总效益;πr:再生水厂的利润;*:表示最优解。
1.2 模型的描述与假设
假设1:再生水回用系统由政府、再生水企业和用户构成。
假设2:虽然再生水的水质可以达到甚至超过自来水,但是这样既会造成成本过高,又会使水质远高于居民用户冲厕需求的功能定位。相对于自来水,再生水可以满足相同的使用功能,因此,假设再生水和自来水功能相同,但用户对2种商品有不同的支付意愿。
假设3:用户满足理性经济人假设,即在风险中性下根据效用选择使用再生水或者自来水。
假设4:再生水和自来水的市场需求取决于用户的效用,由于用户的认可度不同,再生水的价格将低于自来水的价格,即pr≤pn。
假设5:在设计处理规模以内,再生水厂处理单位污水使用的药剂费、建筑物及构筑物等固定资产折旧基本不变,因此假设再生水边际成本不变。
假设6:再生水企业根据市场需求量生产再生水,因此假设再生水的生产量等于需求量。
2 再生水需求函数
对于居民家庭用户来说,再生水用于饮用既不可行,也不实际。目前再生水主要用途为冲厕用水,用户用水量基本保持一致。因此,假设市场容量为1,每个居民家庭用户使用相同单位水量,且居民用户冲厕用水只能使用自来水或再生水其中一种,即使用自来水,或者使用再生水,或者都不使用。自来水的价格为pn,再生水的价格为pr,pr≤pn表示自来水的价格大于再生水的价格。用户根据效用选择使用再生水,或者使用自来水,参考易余胤等〔14-16〕的研究,用户使用再生水和自来水的效用函数分别为:Ur=aβ-pr和Un=β-pn。其中,Un为用户使用自来水时获得的效用;Ur为用户使用再生水时获得的效用;β为用户对自来水的支付意愿,参考赵晓敏等〔17-18〕的相关参数设定,假设用户对自来水的支付意愿为〔β∈(0,Q)且在[0,Q]上服从均匀分布〕,其密度函数为f(β)=1/Q,分布函数为F(β)=β/Q,β越大表示用户对自来水的支付意愿越高;用户对再生水的支付意愿为aβ(0≤a≤1),a表示用户对再生水的接受度,a=0表示完全无法接受再生水,a=1表示再生水和自来水无差异。
用户根据效用选择使用再生水或者自来水,当Un≥Ur时,用户选择使用自来水,此时用户的支付意愿满足



根据以上分析可知当

进一步,根据消费者剩余理论,再生水用户的消费者剩余为购买再生水时愿意支付的最高价格和再生水水价之间的差额,因此再生水用户的消费者剩余CS为:

3 政府补贴动态博弈模型
结合再生水行业向市场化运作的趋势和再生水回用所遇到的实际情况,在充分反映客观事实的基础上,将再生水回用所面临的问题抽象为数学问题。建立政府与企业间的两阶段动态博弈模型,第一阶段政府根据社会总效益确定单位产品的补贴率s,在第二阶段再生水企业根据其经济效益确定再生水价格pr。运用逆向归纳法对模型进行求解。
3.1 政府补贴再生水用户动态博弈模型
3.1.1 再生水企业决策阶段(第二阶段)
在此部分考虑政府直接对再生水用户进行补贴,居民用户使用再生水能够获得政府的价格补贴,单位再生水的价格补贴率为s,则用户使用再生水补贴后的价格为pr(1-s),其中0<s<1。根据第2节可知,政府补贴再生水用户时,用户使用再生水时的效用Ur为:

根据第2节的背景假设,用户对再生水需求量与企业的生产量一致,则:

根据以上条件,得到再生水企业的收益函数πr为:

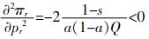
将(4)式带入(5)式中,并对πr求pr的二阶导数,得到


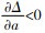
目前,水资源价格结构不合理是阻碍再生水回用一个重要因素,同时,再生水作为自来水的劣质替代品,存在pr≤pn。因此,分析再生水和自来水的价格差异,自来水和再生水的价格差Δ为:

对Δ求接受度a的偏导,可知
结论1:用户对再生水的接受度越低,再生水的市场价格越低,再生水和自来水的价格差异越明显。
因此,在再生水接受度较低的市场环境中,再生水企业需要通过降低再生水价格使二者的价格差异增大,以此改善再生水消费不足的情况,扩大再生水的市场需求。
结论2:再生水企业生产成本降低、或自来水价格提高时,再生水价格和自来水价格差增大。
由此可知,再生水企业可以通过生产技术进步使再生水生产成本降低,进而降低再生水的市场价格,或提高自来水价格2种方式增大再生水和自来水的市场价格差异,引导更多的用户使用再生水。因此提高自来水价格(政府角度)和企业技术创新降低再生水生产成本(再生水企业角度),有助于促进再生水行业的发展。
结论3:政府补贴用户时,补贴率越大,再生水的市场价格越高,同时,根据用户效用函数,相同价格水平下用户使用再生水时的消费者剩余与无政府补贴时相比更大。
因此当政府补贴再生水用户,企业可适当提高再生水市场价格,使其实现盈利,对再生水行业市场化运作具有重要意义。同时,用户获得补贴增大了再生水用户的消费者剩余,吸引更多的用户使用再生水,加快其市场化进程。
结合(4)式和(6)式得到再生水的最优产量为:

根据(8)式得到如下结论。
结论4:政府补贴再生水用户时,随着补贴率的提高(s增大),再生水的市场占有率增大,自来水的市场占有率降低。同时,再生水生产成本的降低和用户对再生水接受度的提高将扩大再生水的市场占有率。
由此可知,在再生水行业向市场化发展初期,政府加大的补贴力度、再生水企业加强技术创新、用户增进对再生水的了解,提高对再生水的接受度,对促进再生水行业发展具有重要意义。
3.1.2 政府决策阶段(第一阶段)
本部分为政府补贴再生水用户的两阶段动态博弈的第一阶段,政府根据社会总效益确定最优补贴率s。总结前人的研究,假设社会总效益包括再生水企业经济收益、再生水用户的消费者剩余、政府补贴再生水用户的总额。同时,近年来政府对环境的保护越来越重视,而再生水回用可以减少污染、美化环境,蕴含着巨大的外部效益。因此,将再生水回用带来的环境效益考虑到模型中更具有科学性。社会总效益函数为:

其中,CS表示再生水用户的总消费者剩余;Er=vqr,v表示再生水回用过程中单位再生水所带来的环境效益。
根据(2)式可知,再生水用户总消费者剩余为:

进一步,社会总效益函数表示为:

对πG求s的一阶导数,得到政府的最优补贴率s*为:

根据(12)式可得到补贴率s和再生水接受程度a的关系见表 1。
表1 补贴率s和再生水接受程度a的关系
| pncr+2vcr-2cr2<0 | pncr+2vcr-2cr2=0 | pncr+2vcr-2cr2>0 | |
| s与a的关系 | ↗ | — | ↗ |
注:↗表示政府补贴与接受度正相关;—表示政府补贴与接受度无关。
结论5:如表 1所示政府根据用户对再生水接受度a的变化对再生水的补贴率进行调整,补贴率的调整与pncr+2vcr-2cr2的正负性有关。故随着社会发展和居民环保意识的增强,当用户对再生水的接受度发生变化时,政府将根据自来水价格、再生水生产成本、再生水使用带来的环境效益等因素,综合确定再生水的最优补贴率。
结论6:当单位再生水环境效益增大时,政府的补贴率亦增大。即再生水回用所产生的外部效益是政府进行补贴的一个重要考虑因素,单位再生水的环境效益增大将进一步促使政府制定激励措施,引导居民使用再生水。
将s*带入(6)式、(8)式、(11)式中得到再生水企业的最优pr*、qr*以及最优社会总效益πG*分别为:



3.2 政府补贴再生水企业动态博弈模型
考虑政府对再生水企业进行补贴,每单位再生水补贴额为ω,ω<cr,再生水企业生产单位再生水的利润为pr-cr+ω。因为政府补贴再生水企业,对用户的消费者剩余没有直接影响,所以再生水的需求量为:

再生水企业的收益函数为:

根据

结论7:(1)政府补贴再生水企业情况下,补贴额与再生水价格呈负相关,与再生水需求量呈正相关。因为政府选择补贴再生水企业时,企业在保证盈利的情况下,将选择降低再生水价格吸引用户使用再生水,提高其市场占有率。由此可见,当补贴再生水企业时,将由较低的再生水价格拉动再生水的市场需求;当补贴再生水用户时,将由增大再生水用户的消费者剩余拉动再生水的市场需求。(2)当再生水生产成本和居民对再生水的接受度变化时,与政府补贴用户情况相同,均会提高再生水的市场价格,缩小再生水与自来水之间的价格差异。
根据式(17)、(18),政府补贴额ωqr,得到社会总效益函数为:

因此,得到政府的最优补贴额为:

根据式(20)得到补贴额ω和再生水接受程度a的关系见表 2。
表2 补贴额ω和再生水接受程度a的关系
| 2v+pn-2cr<0 | 2v+pn-2cr=0 | 2v+pn-2cr>0 | ||
| ω与a的关系 | ↘ | — | ↗ |
注:↗,—和↘分别表示政府补贴额与接受度正相关,无关和负相关。
结论8:如表 2所示,在政府补贴再生水企业激励机制下,单位再生水补贴额度将根据居民对再生水的接受度变化进行调整,调整取决于2v+pn-2cr的正负性。这表明政府将依据单位再生水环境效益、自来水价格和再生水成本等因素综合考虑最优的补贴政策。同时,政府补贴再生水企业时,再生水回用产生的环境效益使政府更具动力制定激励政策。
根据式(16)~(20),得到再生水企业的最优决策和社会总效益为:



4 数值模拟
根据上文的假设,政府补贴再生水企业和补贴用户2种激励方式的均衡解见表 3。
表3 政府补贴再生水企业和补贴用户的均衡解
| 均衡解 | 政府补贴再生水企业 | 政府补贴再生水用户 |
| pr | 0.650 | 2.579 |
| qr | 0.458 | 0.458 |
| ω/s | 0.435 | 0.748 |
| CS | 0.126 | 0.126 |
| πr | 0.151 | 0.600 |
| s | 0.026 | 0.026 |
4.1 政府补贴再生水用户方式下的数值模拟
政府补贴再生水用户方式下的数值模拟见图 1。
图1
首先,保持相关参数不变,分析用户不同接受度条件下,政府补贴再生水用户的补贴率s与再生水价格pr的关系。由图 1(a)可知,再生水的补贴率s与再生水价格pr呈凸性正相关,再生水补贴率越大,再生水的价格越高。当用户对再生水的接受度增大时,再生水企业将会提高再生水的价格,以提高企业的收益,当补贴率达到某一数值时,再生水价格将高于自来水价格,而用户将面临效用减少的趋势,因此,为扩大并稳定再生水的市场占有率,政府应增大再生水的补贴率;由图 1(b)可知,当补贴率增大时,再生水的需求量也随之增大,二者呈线性关系。当用户对再生水接受度较低时,为提高再生水市场需求需要以更高的补贴率来实现,通过增大再生水补贴力度以提高再生水用户的效用,从而提高再生水的市场需求。
结论9:政府补贴再生水用户激励政策下,再生水价格和市场需求量均与补贴率呈正相关。政府补贴再生水用户时,虽然会提升再生水价格、缩小再生水与自来水的价格差异,但通过给予用户补贴提高了再生水用户的效用,从而提高了再生水的市场需求。因此,补贴再生水用户的激励方式,既能使企业获得一定收益并引导企业积极参与到再生水行业中,又可以提高用户的消费者剩余以获得用户的青睐。
由图 1(c)可知,随着补贴率的增大,再生水企业的收益也呈增大趋势,当补贴率保持不变,居民对再生水的接受度越高,再生水企业的收益越大;当政府给予补贴或者补贴率较低时,再生水企业将不会盈利。根据以上可知,通过提高对再生水用户的补贴力度、改善居民对再生水的接受程度都可以增大再生水企业的效益,并且有利于吸引更多的资金进入到再生水行业;由图 1(d)可知,社会总效益随着再生水价格的提高,先变大后变小,当再生水价格达到均衡解时,社会总效益达到最大值。这是因为,当再生水价格未达到均衡解时,随着价格的提高再生水企业的收益增大,同时,再生水回用具有巨大的环境效益,因此,此阶段社会总效益随着再生水价格的提高而增大。当再生水价格大于均衡解时,再生水价格提高会使再生水的市场需求量和再生水用户的消费者剩余降低,因此社会总效益减少。
结论10:政府补贴再生水用户的情况下,政府补贴率越大,再生水的价格越高,再生水市场需求量越大,企业的收益越高。同时,当再生水价格增大到均衡值的过程中,社会总效益也随价格的增大而增大。
由上可知,政府对再生水回用进行补贴将提升再生水的市场需求、提高再生水企业的收益,并可以通过调节补贴率对再生水行业加以引导,使社会总效益达到最优,因此,政府采取激励措施对再生水行业向市场化发展具有重要作用。
4.2 政府补贴再生水企业方式下的数值模拟
政府补贴再生水企业方式下的数值模拟见图 2。
图2
首先,保持相关参数不变,分析政府补贴再生水企业的激励方式下,再生水单位补贴额与再生水价格的关系。由图 2(a)可知,与补贴再生水用户的情况相反,补贴再生水企业时再生水价格随再生水单位补贴额的增大而减小。而居民接受度和再生水价格的关系,与政府补贴用户的情况相同,在补贴额一定的情况下,居民对再生水的接受度越高再生水的价格越高;由图 2(b)可知,2种补贴方式下,再生水的市场需求量的变化情况趋同,都随着接受度和补贴的提高而增大;由图 2(c)可知,当单位再生水补贴增大时,再生水企业的收益也随之增大,这与补贴再生水用户的情况相同,由此可知,2种补贴方式均会提高再生水企业的收益;由图 2(d)可知,随着单位再生水价格的增大,社会总效益先增大再减少,这与补贴再生水用户情况一致,并且,补贴用户和补贴再生水企业2种激励方式下,最优社会总效益相同。因此,在再生水向市场化发展初期,为吸引社会资金进入到再生水行业,政府的宏观调控具有重要作用。
结论11:(1)当政府选择补贴再生水用户的激励政策时,再生水价格将随着补贴率的增大而提高;而当政府选择补贴再生水企业的激励政策时,再生水的价格将随着单位补贴额的增大而降低。(2)补贴再生水企业和补贴再生水用户2种激励方式下,再生水的市场需求量和再生水企业的收益均与补贴力度呈正相关,同时,也与居民对再生水的接受度呈正相关。(3)2种激励政策下,价格与社会总效益的变化趋势相同,且社会总效益的均衡解一致。
5 结论与建议
本研究根据我国再生水行业正处于向市场化发展的初级阶段这一现实问题,考虑了居民对再生水的接受度、再生水回用带来的环境效益、政府不同激励方式等因素,构建了政府补贴再生水企业、补贴再生水用户2种补贴方式下政府与再生水企业间的两阶段动态博弈模型,分析了2种补贴方式下对再生水价格、再生水回用量、再生水企业收益、社会总效益的影响,并通过数值模拟进一步分析了2种补贴方式下补贴率及补贴额的变化对再生水企业决策的影响。本研究的主要结论如下:(1)当政府补贴再生水用户时,补贴率与再生水价格呈正相关,市场需求量也随补贴率的增大而扩大。最优补贴率因用户对再生水的接受度会发生变化,政府应根据自来水价格、再生水生产成本、再生水使用带来的环境效益等因素综合确定。当政府补贴再生水企业时,补贴额与再生水价格呈负相关,最优补贴额因用户对再生水的接受度会发生变化,当居民接受度改变时,政府将依据单位再生水环境效益、自来水价格和再生水成本等因素,综合考虑最优的补贴政策。(2)通过数值模拟得到补贴再生水企业和补贴再生水用户2种激励方式下,再生水企业的收益与补贴力度和居民地再生水的接受程度呈正相关。2种激励政策下,价格与社会总效益的变化趋势相同,且社会总效益的均衡解一致。
根据本研究得出的结论以及目前我国再生水行业发展所面临的问题,提出如下建议:(1)针对我国目前再生水回用相关法律法规不健全、激励措施缺乏科学性、再生水盲目定价、企业技术创新能力不足、居民对再生水接受度较低等现状,决定了在再生水行业向市场化发展初期,政府应加大补贴力度,再生水企业应加强技术创新,同时增进用户对再生水的了解、提高对再生水的接受度,这对促进再生水行业发展具有重要意义;(2)为吸引社会资金进入再生水行业,政府应综合补贴力度与再生水企业的收益和社会总效益的关系,通过调节补贴率对再生水行业加以引导,使再生水企业的收益和社会总效益达到最优;(3)加大宣传力度。再生水回用过程中,居民对再生水的接受度是阻碍再生水行业发展的重要因素。而用户的理性无知决定了用户不会对再生水进行主动了解,因此,政府应加大再生水安全性、环保性的宣传力度,使用户更全面地了解再生水,减少用户对再生水的抵触心理;(4)加强行业监督。政府对再生水企业实施生产许可证等审批制度,制定严格的再生水市场准入制度,同时加大对再生水企业出水水质监督力度,消除用户对再生水水质的顾虑,进一步促进再生水行业的发展。
参考文献
Psychological aspects of the rejection of recycled water:Contamination, purification and disgust
[J].
The effect of competition on recovery strategies
[J].
Managing new and differentiated remanufactured products
[J].
/
| 〈 |
|
〉 |



津公网安备 12010602120337号