| 某炼钢厂副产稀硫酸废水中重金属的去除研究 | 
| 李俊强,王晓瑞,金双玲,金鸣林,闵奇志 | 
| Study on the removal of heavy metals from by-product dilute sulfuric acid of a steel plant | 
| Junqiang LI,Xiaorui WANG,Shuangling JIN,Minglin JIN,Qizhi MIN | 
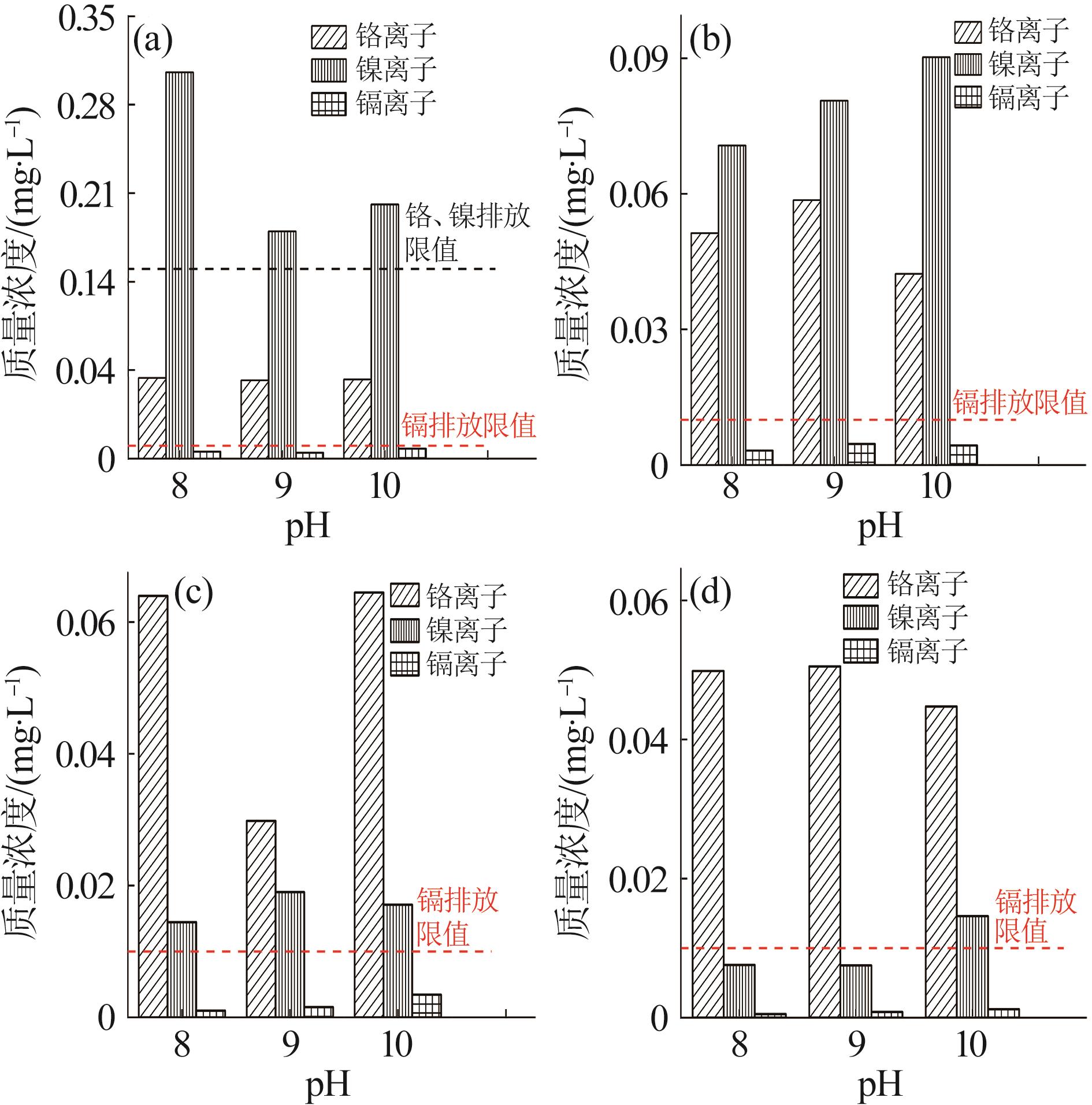
| 图3 不同DTC-1用量下重金属离子的去除效果 | 
| Fig. 3 Removal effect of heavy metal ions at different DTC-1 dosages | 
|   |