工业水处理 ›› 2026, Vol. 46 ›› Issue (1): 147-155. doi: 10.19965/j.cnki.iwt.2025-0101

• 试验研究 • 上一篇    下一篇

α-MnO2活化高碘酸盐降解水中磺胺噻唑

邹智菊1(), 刘邦海2, 任娟1, 张露荷1, 金春姬1,3()   

  1. 1. 中国海洋大学环境科学与工程学院,山东 青岛 266101
    2. 江南大学环境与生态学院,江苏 无锡 214122
    3. 中国海洋大学海洋环境与生态教育部重点实验室,山东 青岛 266100
  • 收稿日期:2025-04-29 出版日期:2026-01-20 发布日期:2026-02-03
  • 通讯作者: 金春姬
  • 作者简介:

    邹智菊(1998— ),硕士,E-mail:

Degradation of sulfathiazole in water by periodate activated with α-MnO2

Zhiju ZOU1(), Banghai LIU2, Juan REN1, Luhe ZHANG1, Chunji JIN1,3()   

  1. 1. College of Environmental Science and Engineering, Ocean University of China, Qingdao 266101, China
    2. School of Environment and Ecology, Jiangnan University, Wuxi 214122, China
    3. Key Laboratory of Marine Environment and Ecology, Ministry of Education, Ocean University of China, Qingdao 266100, China
  • Received:2025-04-29 Online:2026-01-20 Published:2026-02-03
  • Contact: Chunji JIN

摘要:

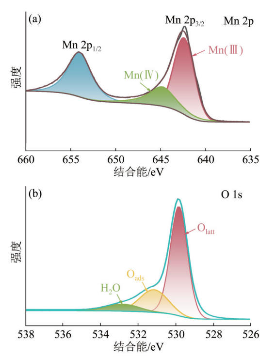
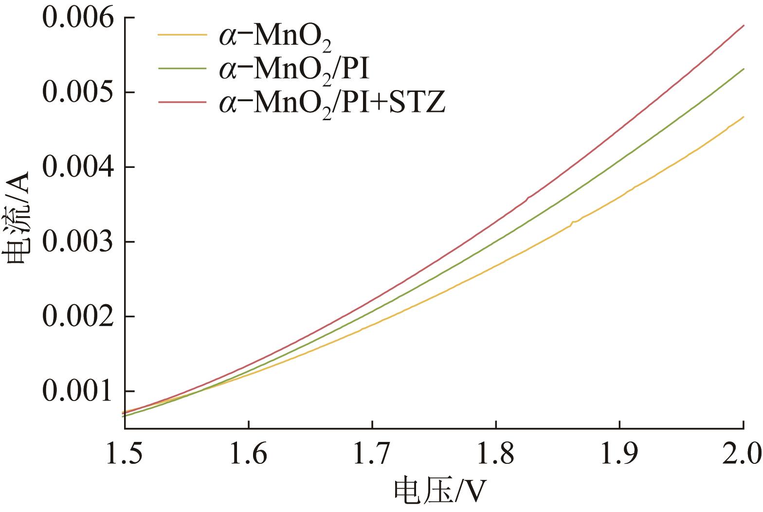
为高效去除水中磺胺噻唑(STZ),采用水热-煅烧法合成了锰氧化物α-MnO2,并构建了α-MnO2/PI(高碘酸盐)高级氧化体系。表征了α-MnO2的形貌和微观结构,探究了pH、PI浓度、催化剂投加量以及水中常见组分(阴离子和腐殖酸)对α-MnO2/PI体系降解STZ的影响,并分析了α-MnO2活化PI的机制。结果表明,在PI浓度为0.25 mmol/L,α-MnO2投加量为0.15 g/L,初始pH为3.0条件下,体系在6 min内即可完全降解20 μmol/L STZ。HCO3 -对STZ降解表现出显著抑制作用,腐殖酸仅呈现轻微抑制,SO4 2 - 、Cl - 、NO3 - 的影响均较小。自由基猝灭实验和电化学分析表明,1O2和IO3·是体系中主要活性氧物种,且α-MnO2/PI体系在降解STZ时存在电子转移机制。α-MnO2经4次重复使用后仍保持100%的STZ降解率,表明其具有优异的稳定性和可重复性。α-MnO2/PI体系展现出对以STZ为代表的多种新污染物的广谱降解能力,显示出良好的实际应用前景。

关键词: 高碘酸盐, α-MnO2, 磺胺噻唑, 降解机制

Abstract:

Manganese oxide α-MnO2 was synthesized by hydrothermal-calcination method, and α-MnO2/PI (periodate) advanced oxidation system was constructed to efficiently remove sulfathiazole (STZ) in water. The morphology and microstructure of α-MnO2 were characterized. The effects of pH, PI concentration, catalyst dosage and common components (anions and humic acids) in water on the degradation of STZ in α-MnO2/PI system were investigated, and the mechanism of α-MnO2 activating PI was analyzed. The results showed that STZ could be completely degraded in 6 min under the conditions of PI concentration of 0.25 mmol/L, α-MnO2 dosage of 0.15 g/L and initial pH of 3.0. HCO3 - significantly inhibited the degradation of STZ, while humic acid only exhibited slight inhibition. The impacts of SO4 2-, Cl-, and NO3 - were all minimal. Free radical quenching experiments and electrochemical analysis showed that 1O2 and IO3· were the main reactive oxygen species in the system, and the α-MnO2/PI system had an electron transfer mechanism during the degradation of STZ. α-MnO2 still maintained 100% STZ degradation efficiency after 4 times of repeated use, indicating excellent stability and repeatability. α-MnO2/PI system exhibited a broad-spectrum degradation ability for multiple new pollutants represented by STZ, showing a good practical application prospect.

Key words: periodate, α-MnO2, sulfathiazole, degradation mechanism

中图分类号: