Abstract:
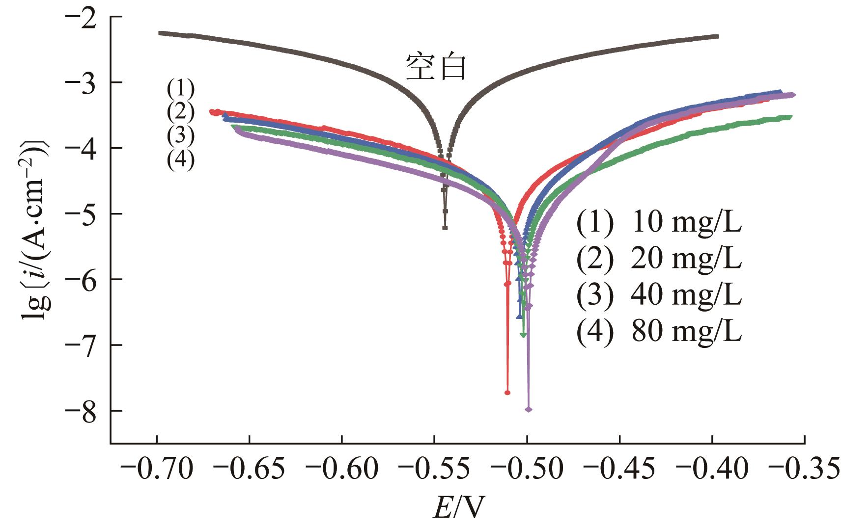
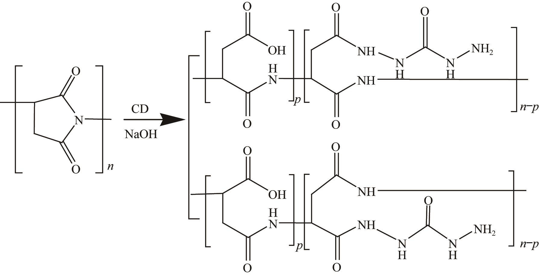
A novel polyaspartic acid derivative (CD/PASP) was synthesized, and used as a green, efficient, and economical corrosion inhibitor to inhibit the corrosion behavior of Q235 low carbon steel in 0.5 mol/L phosphoric acid solution. The structure of CD/PASP was verified by infrared spectroscopy (FTIR) and nuclear magnetic hydrogen spectroscopy (1H NMR), and thermogravimetric analysis showed its excellent thermal stability within 200 ℃. The weightlessness experiment showed that when the dosage of CD/PASP was 80 mg/L, it had an inhibitory effect on the corrosion of Q235 steel, with a corrosion inhibition rate (η) of up to 85.19%. The adsorption of CD/PASP on the surface of Q235 steel conformed to Langmuir adsorption isotherm model, and the adsorption free energy (ΔG ≈-38.92 kJ/mol) indicated that its adsorption was a spontaneous process, involving both physical and chemical adsorption mechanisms. Polarization curves and electrochemical impedance spectroscopy indicated that CD/PASP was a hybrid corrosion inhibitor that could form a protective film on the metal surface to effectively block the corrosion process. Surface analysis (SEM, AFM, XPS, etc.) further revealed that CD/PASP formed N—Fe chemical bonds with the steel substrate through nitrogen heteroatoms in the molecule, forming a hydrophobic protective layer on the metal surface that effectively blocked corrosive media and suppressed charge transfer processes. The synthesized CD/PASP was an efficient steel corrosion inhibitor with great potential for application in the field of industrial metal corrosion prevention.
Key words:
corrosion inhibitor,
Q235 steel,
weightlessness,
electrochemistry,
surface analysis
摘要:
合成了一种新型聚天冬氨酸衍生物(CD/PASP),并将其作为绿色、高效、经济的缓蚀剂,用于抑制Q235低碳钢在0.5 mol/L磷酸溶液中的腐蚀行为。通过红外光谱(FTIR)和核磁氢谱(1H NMR)验证了CD/PASP的结构,热重分析表明其在200 ℃以内具备良好的热稳定性。失重实验显示,当CD/PASP添加量为80 mg/L时,其对Q235钢的腐蚀具有抑制作用,缓蚀率(η)可达85.19%。CD/PASP在Q235钢表面的吸附符合Langmuir吸附等温模型,吸附自由能(ΔG ≈-38.92 kJ/mol)表明其吸附为自发过程,并同时包含物理与化学吸附机制。极化曲线和电化学阻抗谱表明,CD/PASP是一种混合型缓蚀剂,能在金属表面形成一层保护膜,有效阻滞腐蚀过程。表面分析(SEM、AFM、XPS等)进一步揭示,CD/PASP通过分子中的氮杂原子与钢基体形成N—Fe化学键,在金属表面形成疏水保护层,有效阻隔腐蚀介质并抑制电荷转移过程。CD/PASP是一种高效钢铁缓蚀剂,在工业金属防腐领域具有很大应用潜力。
关键词:
缓蚀剂,
Q235钢,
失重法,
电化学法,
表面分析
CLC Number:
Chunjie SHI, Xinhua LIU, Baojing LUO, Yuan ZHANG, Junxia GUAN, Ying WANG, Hongxia ZHANG, Hongli ZHAO, Xiaodan LIU, Xinyuan ZHANG, Yubo XIA, Xujia SHI, Yizhao GAO. Corrosion inhibition performance and mechanism of a novel phosphorus-free corrosion inhibitor CD/PASP on carbon steel in phosphoric acid[J]. Industrial Water Treatment, 2026, 46(1): 81-88.
石春杰, 柳鑫华, 罗宝晶, 张源, 关俊霞, 王瀛, 张红霞, 赵红丽, 刘晓丹, 张心媛, 夏雨博, 史旭佳, 高一钊. 新型无磷缓蚀剂CD/PASP对碳钢在磷酸中的缓蚀性能与机理[J]. 工业水处理, 2026, 46(1): 81-88.