基于2种材质FO膜对OMBR运行特性影响的研究 
					
										
							Research on influence of two type material of forward osmosis membrane to operating characteristics of the osmotic membrane bioreactor 
						
																收稿日期: 2020-07-2
| 基金资助: |  | 
Received: 2020-07-2
作者简介 About authors
吴安安(1996-),在读硕士电话:15155928147,E-mail:
				 
				
									 通过水通量、反渗盐通量、污染物去除率考察了2种正渗透膜对OMBR运行特性的影响,并对膜污染特性进行了研究。结果表明,水通道蛋白(AQP)膜和醋酸纤维素(CTA)膜平均水通量分别为8.90、4.96 L/(m2·h),平均反渗盐通量分别为13.06、6.36 g/(m2·h)。CTA膜组氨氮、总氮和总磷的平均去除率分别为98.8%、94.1%和98.9%。AQP膜和CTA膜膜面污染中,C、O原子数占比分别为47.19%、35.13%和66.71%、24.38%。AQP膜污染蛋白质和多糖含量均高于CTA膜,平均荧光强度分别为72.98和79.49。
										关键词:
																																	 
																											
								 The influence of two kinds of forward osmosis membranes to the operation characteristics of the forward osmosis membrane bioreactor were investigated by water flux, reverse osmosis salt flux and pollutant removal rate, and membrane fouling characteristics were also studied. The results showed that the average water flux of aquaporin(AQP) membrane and cellulose triacetate(CTA) membrane was 8.90 L/(m2·h) and 4.96 L/(m2·h), and the average reverse osmosis salt flux was 13.06 g/(m2·h) and 6.36 g/(m2·h), respectively. The average removal rates of ammonia nitrogen, total nitrogen and total phosphorus by CTA membrane were 98.8%, 94.1% and 98.9%, respectively. The ratios of C and O atoms in the contamination of AQP membrane and CTA membrane was 47.19%, 35.13% and 66.71%, 24.38%, respectively. The contents of protein and polysaccharide in the contamination of AQP membrane are higher than those in CTA membrane, the mean fluorescence intensity was 72.98 and 79.49, respectively.
																																												Keywords:
																				
																							
本文引用格式
							吴安安, 李带, 黄观超, 崔嘉吉, 胡玥, 向乾伟, 汪童, 段文松. 
								Wu An'an. 
近年来,水污染形势日益严峻,已成为人类亟待解决的环境问题之一。膜生物反应器(MBR)是将膜分离技术与传统活性污泥法结合,同时兼具了生物降解和膜分离2个处理环节,能更高效地去除废水中的污染物。正渗透(FO)膜是一种半渗透膜,将其应用于废水处理,具有截留率高、无需外压、膜污染轻等优点〔1〕。目前,广泛研究的正渗透膜主要有醋酸纤维(CTA)膜、水通道蛋白(AQP)仿生膜和非对称薄层复合薄(TFC)膜。CTA膜具有良好的亲水性,低污染且机械强度大,应用范围广〔2〕。AQP膜由于其独特的水通道蛋白结构,具有高水渗透性和单一选择性〔3〕。TFC膜有自支撑层,孔隙率大,具有良好的化学和热稳定性〔4〕。选择合适的正渗透膜可以有效提高污水处理效率,因此,研究不同正渗透膜的特性对于其在水处理中的应用具有重要意义。
目前,国内外对不同材质正渗透膜的OMBR(正渗透膜生物反应器)运行特性的研究甚少。对此,本研究采用OMBR来处理模拟生活污水,考察了2种不同材质正渗透膜对OMBR运行特性的影响,并分析了正渗透膜的污染特性。该项研究可为控制OMBR稳定运行、提高OMBR运行效率提供理论依据。
1 材料和方法
1.1 实验材料
接种污泥取自芜湖市城南污水处理厂生化池。进水为模拟生活污水,人工配水水质:氨氮(28.08±0.69)mg/L,总氮(28.62±3.12)mg/L,总磷(5.45±0.21)mg/L,TOC(1 202.32±3.25)mg/L。CTA膜为美国HTI公司生产的商业用CTA膜;AQP膜购于国初科技有限公司,为聚砜多孔支撑层涂加AQP有效层结构。
1.2 实验装置
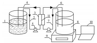
本实验采用分置式膜生物反应器,SBR法培养活性污泥。OMBR采用外置式膜组件,原料液为污泥混合液,汲取液为2 mol/L NaCl溶液,装置如图1所示。蠕动泵为保定创锐BT600LC型,设置流量600 mL/min。设计CTA膜和AQP膜2组平行实验,使用G & G JJ2000B电子天平实时记录汲取液质量,在线连续采集数据,连续运行30 d。膜朝向为活性层对原料液。
图1
图1  
											外置式OMBR示意
										
1—原料液;2—原料液进料管;3—膜组件;4—原料液出料管;5—蠕动泵;6—汲取液出料管;7—汲取液进料管;8—汲取液;9—电子天平;10—数据处理系统;11—正渗透膜。
1.3 分析方法
1.3.1 水通量和反渗盐通量的计算
使用电子天平实时监测汲取液质量,水通量(Jw)计算公式如式(1)所示。

式中:Jw——水通量,L/(m2·h);
S——有效膜面积,m2;
t——运行时间,h;
ΔW——汲取液质量的增加量,g;
ρ——水的密度,1 000 g/L。
使用电导率仪实时测定原料液侧电导率,反渗盐通量(Js)计算公式如式(2)所示。

式中:Js——反渗盐通量,g/(m2·h);
Ct、C0——t时间和初始时刻原料液中的TDS,g/L;
Vt、V0——t时间和初始时刻原料液体积,L;
S——膜的有效面积,m2;
t——正渗透膜分离时间,h。
1.3.2 水质指标
每天分别取AQP、CTA膜组汲取液检测其中的TOC、总氮、总磷、氨氮指标。采用非色散红外线吸收法(GB 13193—1991)测定TOC;采用碱性过硫酸钾紫外分光光度法(GB 11894—1989)测定总氮;采用钼酸铵分光光度法(GB 11893—1989)测定总磷;采用纳氏试剂比色法(GB 7479—1987)测定氨氮。
2 结果与讨论
2.1 水通量和反渗盐通量
实验前,对正渗透膜装置进行基准实验。原料液为去离子水,汲取液为2 mol/L NaCl溶液,运行时间为24 h,记录并计算每小时水通量和每3 h的反渗盐通量。结果表明,2组膜的水通量均随时间的增长而减少,反渗盐通量则随时间的增长而增大,且AQP膜的反渗盐通量高于CTA膜。基准实验中,2组膜通量的大小主要取决于膜的结构。
运行期间,不同膜组水通量和反渗盐通量的变化如图2所示。
图2
2.2 不同膜组对污水的处理效果
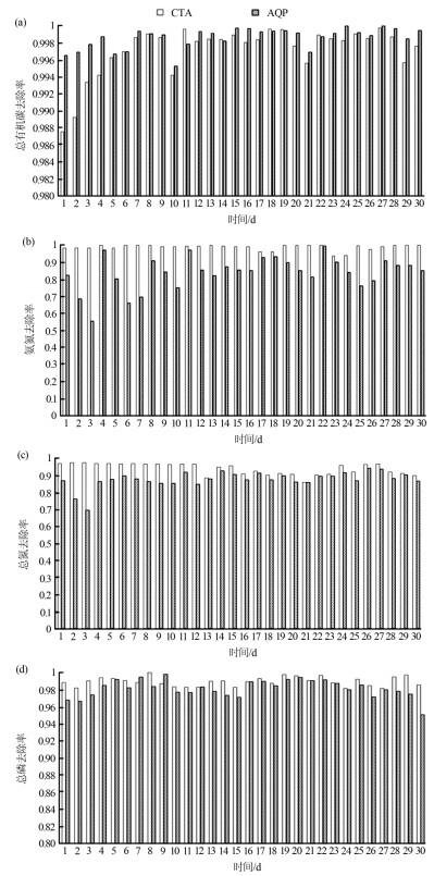
不同膜组OMBR处理模拟生活污水的效果如图3所示。
图3
由图3(a)可知,AQP组TOC去除率整体较高,出水TOC最高为11.68 mg/L,TOC去除率为99.03%。CTA组TOC去除率均大于98.7%,出水TOC最高为14.92 mg/L。由此可见,AQP膜组微生物降解TOC效率更高,代谢活动更旺盛。
由图3(b)可知,CTA组氨氮去除率比AQP组高,去除效果较为稳定。整个运行周期30 d内均保持在93%以上,最高可达99.9%,出水氨氮最高为0.53 mg/L。AQP组氨氮去除效果相对较差,氨氮去除率变化较大,最小为55.3%,最大为99.5%,出水氨氮平均质量浓度为3.8 mg/L。
由图3(c)可知,CTA组总氮去除率整体比AQP组高,最大为97.7%,最小为86.2%,出水总氮最高为3.94 mg/L。运行到第13天,CTA组总氮去除率降低5%左右,可能与膜污染加剧有关。AQP组总氮去除率最低为69.6%,最高为94.6%,出水总氮最高为8.65 mg/L,从第4天起,基本保持在84.9%到94.6%之间。
由图3(d)可知,CTA和AQP组的总磷去除率均达到94.9%以上,出水总磷最高分别为0.26、0.51 mg/L,说明CTA和AQP膜能高效去除污水中的总磷。
综上所述,CTA膜对氨氮、总氮以及总磷的去除效果明显高于AQP膜。AQP膜对污染物的截留效果较差可能归因于现阶段AQP膜工艺较不完善,活性层中AQP分布不均匀存在缺陷。2组OMBR对TOC的去除率都很高,均达到98%以上,说明2种膜对TOC都起到了很好的截留作用。
2.3 SEM和EDX分析
分别取干净的CTA膜、AQP膜以及OMBR运行30 d后污染的CTA膜、AQP膜进行SEM表征,结果如图4所示。
图4
由图4可知,CTA膜具有光滑的活性层表面,下层可见无纺布支撑层结构。AQP膜有效层表面涂饰AQP,下层为多孔聚砜支撑结构。运行30 d后,CTA、AQP污染膜表面均出现白色亮块,为NaCl晶体。可见,2种OMBR经过长期运行后,FO膜表面附着了厚厚的污染层,可以观察到很多无机颗粒,AQP膜表面的无机颗粒更密集一些。
采用能量色散X射线光谱仪(EDX)分别对CTA和AQP污染膜表面成分进行分析。结果表明,AQP膜和CTA膜表面污染物成分相似,以C、O为主,其原子数占比分别为47.19%、35.13%和66.71%、24.38%。因为原料液侧为活性污泥混合液,OMBR运行期间产生溶解性微生物产物(SMP)和胞外聚合物(EPS)等有机污染物,其易附着在膜表面。Na元素和Cl元素含量相对较高,主要是因为本研究采用的汲取液是NaCl溶液,钠离子和氯离子反向传输到原料液侧,也导致其在膜表面富集。AQP膜面Si元素含量明显高于CTA膜。由Fangang Meng等〔11〕的研究结果可知,Si、P、S、Al、Ca等元素对膜表面污染物的形成具有重要作用,故AQP膜面污染更严重。
2.4 CLSM分析
拆除运行30 d后的OMBR反应器,分别剪取5 mm×5 mm大小的污染物附着均匀的CTA、AQP膜片,染色处理后利用激光共聚焦显微镜拍摄。结果显示,CTA膜表面蛋白质染色面积大、多糖染色面积小,平均荧光强度分别为71.12和14.39,膜面污染主要是蛋白质,多糖较少。由于多糖和蛋白质是SMP和EPS的主要组成成分〔12〕,所以膜面污染主要是微生物代谢物。AQP膜表面多糖含量更高,平均荧光强度为79.49,蛋白质平均荧光强度为72.98。AQP膜表面形成的多糖基质包裹层更厚,膜污染更严重。
综上所述,AQP膜表面污染更严重,原因可能是其粗糙的膜表面更易吸附多糖类污染物。又由TOC去除率推测,AQP膜面微生物代谢能力更强,故膜表面的微生物代谢产物含量更高,导致膜污染更严重。
3 结论
(1)30 d的运行结果表明,AQP膜水通量大于CTA膜,溶质反渗作用更严重。AQP膜和CTA膜的起始(第1天)水通量分别为17.24、10.60 L/(m2·h),在第30天分别下降到6.83、4.53 L/(m2·h);起始反渗盐通量分别为10.34、6.23 g/(m2·h),分别上升到18.72、7.72 g/(m2·h)后趋于稳定。
(2)相比AQP膜组,CTA膜组对氨氮、总氮和总磷的去除效果更佳;相比CTA膜组,AQP膜组对TOC的去除效果更佳。CTA组TOC、氨氮、总氮和总磷平均去除率分别为99.7%、98.8%、94.1%和98.9%,AQP组则分别为99.9%、83.7%、87.8%和98.1%。
(3)AQP膜膜污染更严重。CTA膜和AQP膜表面污染层中的蛋白质平均荧光强度分别为71.12和72.98,多糖平均荧光强度分别为14.39和79.49。
								参考文献 
								
									
									
								
							
							Membrane fouling and process performance of forward osmosis membrane on activated sludge
[J].
The forward osmosis membrane bioreactor:A low fouling alternative to MBR processes
[J].
Recent developments in forward osmosis:Opportunities and challenges
[J].DOI:10.1016/j.memsci.2011.12.023 [本文引用: 1]
New generation nanomaterials for water desalination:A review
[J].DOI:10.1016/j.desal.2017.11.041 [本文引用: 1]
A new biomimetic aquaporin thinfilm composite membrane for forward osmosis:Characterization and performance assessment
[J].DOI:10.5004/dwt.2019.23748 [本文引用: 1]
Forward osmosis concentration of a vanadium leaching solution
[J].DOI:10.1016/j.memsci.2019.04.012 [本文引用: 1]
Enrichment of lithium from salt lake brine by forward osmosis
[J].DOI:10.1098/rsos.180965 [本文引用: 1]
Reverse draw solute permeation in forward osmosis:Modeling and experiments
[J].
Characterization of cake layer in submerged membrane bioreactor
[J].DOI:10.1021/es062208b [本文引用: 1]
/
| 〈 |  | 〉 | 
 
	

 
										 
										 
										 
										
 津公网安备 12010602120337号
 津公网安备 12010602120337号