Industrial Water Treatment ›› 2022, Vol. 42 ›› Issue (9): 155-159. doi: 10.19965/j.cnki.iwt.2021-1223

• RESEARCH AND EXPERIMENT • Previous Articles     Next Articles

Effect of Re-flocculation of coagulant on ultrafiltration and reverse osmosis membrane system

Jun YANG1(), Jie ZHOU2, Nan ZHANG1, Haibo XU1   

  1. 1. CenerTech Tianjin Chemical Research and Design Institute Co. , Ltd. , Tianjin 300131, China
    2. Tianjin United Environmental Protection Engineering Design Co. , Ltd. , Tianjin 300191, China
  • Received:2022-07-17 Online:2022-09-20 Published:2022-09-28

混凝剂后絮凝对超滤反渗透膜系统影响的研究

杨军1(), 周婕2, 张楠1, 徐海波1   

  1. 1. 中海油天津化工研究设计院有限公司, 天津 300131
    2. 天津市联合环保工程设计有限公司, 天津 300191
  • 作者简介:

    杨军(1989— ),硕士。电话:13752412433,E-mail:

Abstract:

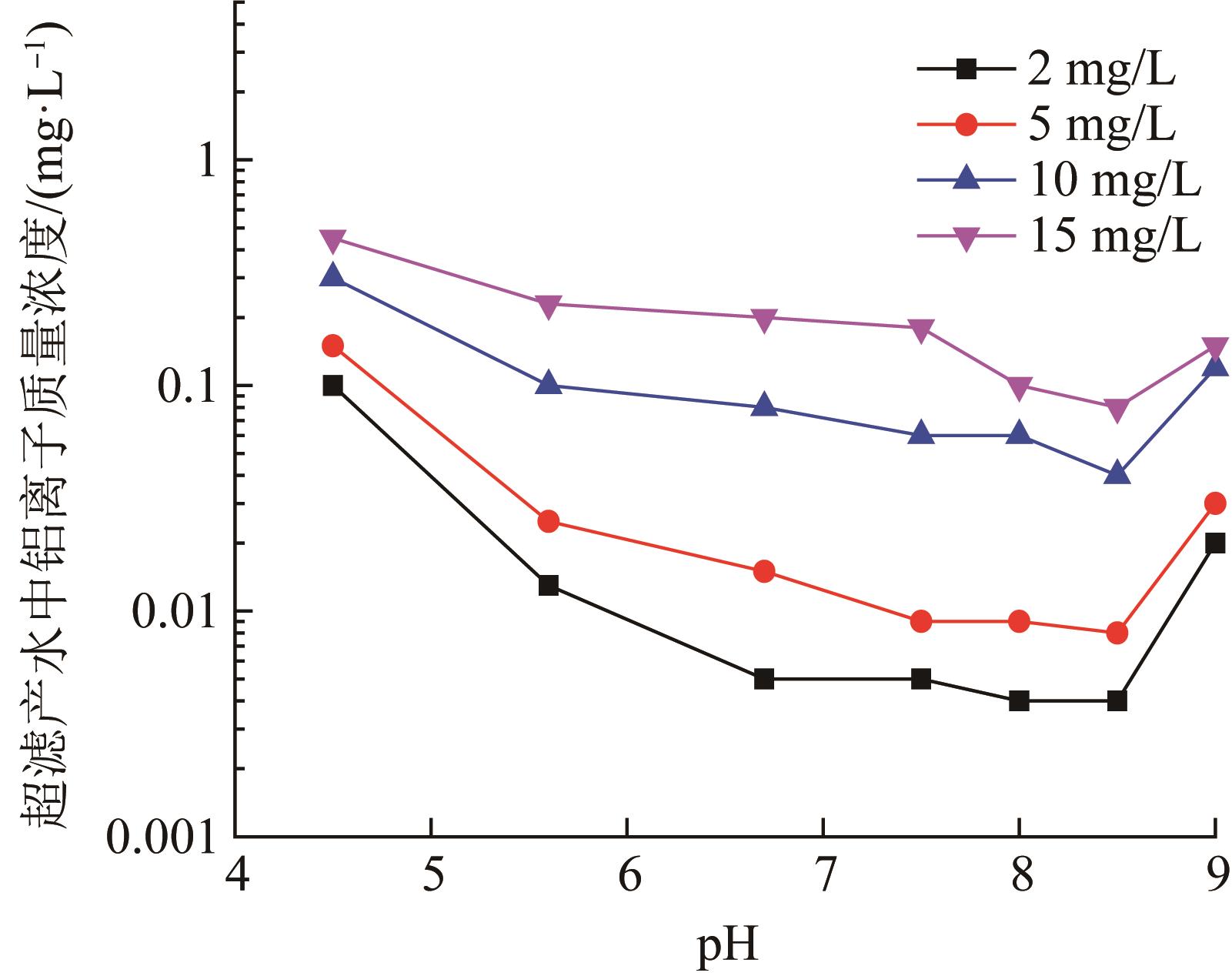
When PAC is used as coagulant for surface water pretreatment,excessive use of coagulant often leads to coagulant pollution in double membrane system. The research results showed that under the condition of pH lower than 6.5,the dosage of PAC 15 mg/L,not complete aluminum ion hydrolysis,the residual aluminum ion concentration in raw water could reach 0.3 mg/L. However, in ultrafiltration and reverse osmosis treatment system,re-flocculation often occurred when the overall hydraulic retention time was greater than 2 h. At the same time,aluminum salt flocs reacted with reverse osmosis scale inhibitor and deposit on the reverse osmosis membrane surface,which directly affected the normal operation of the double membrane system. Therefore,reasonably controlling the dosage of coagulant,adjusting pH and controlling the hydraulic retention time of the system could effectively inhibit the re-flocculation of coagulation and prevent ultrafiltration and reverse osmosis membrane pollution.

Key words: surface water, double membrane system, aluminum ion, re-flocculation, membrane fouling

摘要:

采用PAC作为地表水预处理的混凝剂时,过量地使用混凝剂常常导致双膜系统的混凝剂污染。研究发现,当pH低于6.5,PAC投加量为15 mg/L时,铝离子水解不彻底,原水中残留的铝离子质量浓度可达到0.3 mg/L。而在超滤反渗透处理系统中,总体水力停留时间(HRT)大于2 h时常出现后絮凝现象。同时,铝盐絮体与反渗透阻垢剂发生交联反应,沉积到反渗透膜面,直接影响双膜系统的正常运行。因此合理地控制混凝剂投加量、调节pH、控制系统HRT等可有效抑制混凝的后絮凝现象,防止超滤反渗透膜的污染。

关键词: 地表水, 双膜系统, 铝离子, 后絮凝, 膜污染

CLC Number: