Industrial Water Treatment ›› 2025, Vol. 45 ›› Issue (12): 116-123. doi: 10.19965/j.cnki.iwt.2024-0989

• RESEARCH AND EXPERIMENT • Previous Articles    

Study on the effect of temperature on hydrogen autotrophic reduction for antimonate removal from water

Chengjiong ZHANG1,2(), Xianglin CHEN2, Yiduo WANG2, Bin WU1, Dongli GUO2, Quan ZHOU1, Jing SHA1, Dongjin WAN2()   

  1. 1. Zhengzhou Kairun Municipal Engineering Design Co. , Ltd. , Zhengzhou 450000, China
    2. College of Environmental Engineering, Henan University of Technology, Zhengzhou 450001, China
  • Received:2025-03-14 Online:2025-12-20 Published:2026-01-05
  • Contact: Dongjin WAN

温度对氢自养还原去除水中锑酸盐的影响研究

张程炯1,2(), 陈相林2, 王一朵2, 吴斌1, 郭东丽2, 周全1, 沙净1, 万东锦2()   

  1. 1. 郑州楷润市政工程设计有限公司,河南 郑州 450000
    2. 河南工业大学环境工程学院,河南 郑州 450001
  • 通讯作者: 万东锦
  • 作者简介:

    张程炯(1985— ),高级工程师,E-mail:

  • 基金资助:
    国家自然科学基金项目(52070073); 河南省高校科技创新人才支持计划项目(22HASTIT009)

Abstract:

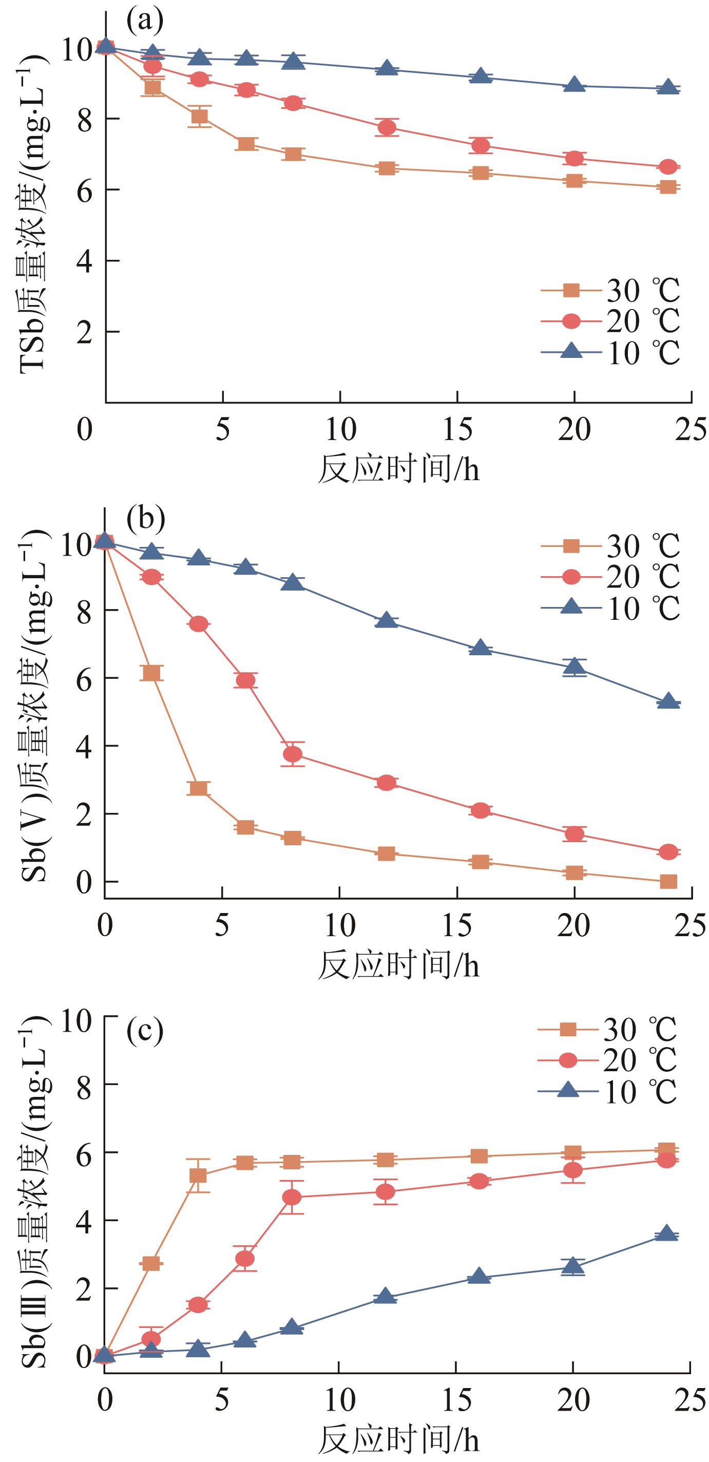
Hydrogen autotrophic bioreduction has been proved to be effective for the removal of antimonate in water. As one of the key factors affecting the growth and metabolism of microorganisms, the impact of temperature on the efficacy of hydrogen autotrophic reduction of antimonates and the structure of the bacterial community needs to be further clarified. In this study, hydrogen(H2) was used as the only electron donor to domesticate the microorganisms,and a sequencing batch bioreactor was established to investigate the effects of hydrogen autotrophic reduction on the removal efficiency of antimonate in water and the structure of microbial community at different temperatures. Fourier transform infrared spectroscopy(FTIR) and X-ray photoelectron spectroscopy(XPS) were used to characterize the reaction products and analyze the mechanism of the reaction. The experimental results showed that the suitable temperature for the reaction was 30 ℃. When the temperature was reduced from 30 ℃ to 10 ℃, the removal of Sb(Ⅴ) was decreased by 52.7%, and the removal of total Sb(TSb) was decreased by 27.69%. The process of H2 autotrophic biological denitrification for antimonate reduction conformed to the Michaelis-Menten model, with the kinetic parameters were 0.040-0.128 mg/(g·h) for q max, 0.004-0.334 mg/L for Ks, and the activation energy of the reaction was 41.88 kJ/mol. The results of characterization and analysis showed that Sb(Ⅴ) was autotrophically reduced to Sb(Ⅲ) by hydrogen and further produced Sb2O3 precipitates. At 30 ℃, the dominant genera were Acinetobacter, Chryseobacterium and Hydrogenophaga. At 10 ℃, Acinetobacter was still the most dominant genus, while Chryseobacterium and Hydrogenophaga were more sensitive to temperature, with abundance reduced by 16.90% and 4.55%, respectively.

Key words: hydrogen autotrophic reduction, temperature, antimonate, kinetic analysis, microbial community structure

摘要:

氢自养生物还原已被证实可有效用于去除水中污染物锑酸盐,温度作为影响微生物生长与代谢的关键环境因素之一,其对氢自养还原锑酸盐的效能和菌群结构的影响仍需进一步明确。利用氢气(H2)作为唯一电子供体对微生物进行驯化,在序批式实验模式下,探究了不同温度下氢自养还原过程对水中锑酸盐去除效能及微生物群落结构的变化情况,利用傅里叶红外光谱(FTIR)和X射线光电子能谱(XPS)分析表征反应产物并分析反应机理。实验结果表明,反应适宜温度为30 ℃,当温度从30 ℃降低到10 ℃,Sb(Ⅴ)的去除率下降了52.7%,总Sb(TSb)去除率下降了27.69%;H2自养生物反硝化还原锑酸盐的过程符合Michaelis-Menten模型,动力学参数q max为0.040~0.128 mg/(g·h),Ks 为0.004~0.334 mg/L,反应活化能为41.88 kJ/mol;表征分析结果表明,Sb(Ⅴ)被氢自养还原为Sb(Ⅲ),并进一步生成Sb2O3沉淀物;在30 ℃条件下,优势菌属为AcinetobacterChryseobacteriumHydrogenophaga,在10 ℃条件下,Acinetobacter仍是最具优势的菌属,而ChryseobacteriumHydrogenophaga对温度较为敏感,丰度分别降低了16.90%和4.55%。

关键词: 氢自养还原, 温度, 锑酸盐, 动力学分析, 微生物群落结构

CLC Number: