工业水处理 ›› 2024, Vol. 44 ›› Issue (6): 189-197. doi: 10.19965/j.cnki.iwt.2023-0763

• 油气田水处理 • 上一篇    下一篇

油田生产用超分子除垢剂效果评价及机理研究

李丰辉(), 刘春志   

  1. 中海石油(中国)有限公司天津分公司,天津 300452
  • 收稿日期:2024-03-19 出版日期:2024-06-20 发布日期:2024-06-18
  • 作者简介:

    李丰辉(1980— ),硕士,高级工程师。E-mail:

Applying effects evaluation and mechanism research of the supramolecular detergent for oilfield production

Fenghui LI(), Chunzhi LIU   

  1. Tianjin Branch, China National Offshore Oil Corporation Co. , Ltd. , Tianjin 300452, China
  • Received:2024-03-19 Online:2024-06-20 Published:2024-06-18

摘要:

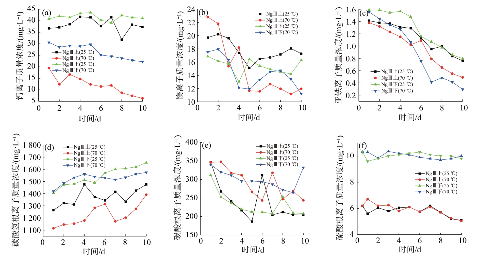
油田开发过程中产生的无机垢会影响生产开发,导致油田效益下降。针对海上C油田地层条件,通过室内实验与模拟相结合明确无机垢的组成及井下形成位置。之后采用γ-聚谷氨酸等制备中性超分子除垢剂,使用Materials Studio 2020软件分析并明确超分子体系的自组装过程,并对比评价其与传统酸性除垢剂的除垢效果及体系适用范围。最后,通过密度泛函理论(DFT)进行分子模拟,并结合室内实验结果研究分析超分子体系对无机垢的去除机理。结果表明,区块典型井主要在水平井井底生成碳酸钙/镁和碳酸亚铁垢,自制超分子除垢剂对碳酸钙垢、硫酸钙垢和模拟垢的除垢率分别为74.2%、45.1%和65.8%,均明显高于常规除垢剂,且体系可将岩心注入压力恢复12%。超分子除垢剂最佳使用温度为40~90 ℃,作用时间为12 h。动力学模拟分析认为,虽然空间位阻一定程度影响了超分子体系对离子的吸附,但由于分子间相互作用力更大,超分子体系更容易螯合结垢离子。机理研究表明,体系是通过超分子配位除垢作用、超分子聚集作用和渗透作用的协同进行除垢,具有良好的应用前景。

关键词: 结垢模拟, 渗透率恢复性, 超分子除垢剂, 超分子作用, 密度泛函理论

Abstract:

The inorganic scales have negative effects on the development of oilfields and result in the decrease of economics. This paper analyzed the components and location of the inorganic scales in C oilfields by combining indoor experiments and simulations. A new neutral supramolecular detergent by γ-polyglutamic acid and other agents was prepared. The self-assembly process of the supramolecular system was analyzed and clarified by Materials Studio 2020. Meanwhile, the descaling effect and system applicability of the supramolecular detergent and traditional acidic detergent were compared and evaluated. Molecular simulation by density functional theory(DFT) and indoor experiments were applied to analyze the scale removal mechanisms of the supramolecular system. The results showed that the calcium/magnesium carbonate and ferrous carbonate scales were the main inorganic scales of the typical wells in oilfields at the bottom holes. The removal rates of supramolecular detergent for calcium carbonate scale, calcium sulfate scale and simulated scale were 74.2%, 45.1%, and 65.8%, respectively, which were obviously higher than those of the traditional detergents. The flooding experiments showed that the core injection pressure could be increased 12% after using supramolecular detergent. The optimum temperature of the supramolecular detergent was 40-90 ℃ and the optimum reaction time was 12 hours. The dynamic simulation analysis showed that although steric hindrance affected the adsorption of ions by supramolecular systems, supramolecular systems were more likely to chelate scale samples due to larger intermolecular interactions. The scale removal mechanisms could be summarized as a synergy of supramolecular coordination, supramolecular aggregation and permeation. Therefore, the new supramolecular detergent had a good prospect for application.

Key words: scaling simulation, permeability recovery, supramolecular detergent, supramolecular effects, density functional theory

中图分类号: