工业水处理 ›› 2025, Vol. 45 ›› Issue (11): 83-90. doi: 10.19965/j.cnki.iwt.2024-0948

• 试验研究 • 上一篇    下一篇

阴阳极协同构建绿色电Fenton体系及其降解四环素的研究

卫俊杰1,2(), 龚香宜2, 汪东亮1(), 何嘉庆1,2, 张家泉1, 邹彬3   

  1. 1. 湖北理工学院环境科学与工程学院,矿区环境污染控制与修复湖北省重点实验室,湖北 黄石 435002
    2. 武汉科技大学资源与环境学院,冶金矿产资源高效利用与造块 湖北省重点实验室,湖北 武汉 430081
    3. 湖北众宜环境工程有限责任公司,湖北 黄石 435003
  • 收稿日期:2025-01-07 出版日期:2025-11-20 发布日期:2025-11-20
  • 通讯作者: 汪东亮
  • 作者简介:

    卫俊杰(1999— ),硕士研究生,E-mail:

  • 基金资助:
    湖北省自然科学基金项目(2024AFB1040); 湖北省重点研发计划项目(2023BCB142)

Construction of green electro-Fenton synergistic system with anode-cathode and its degradation of tetracycline

Junjie WEI1,2(), Xiangyi GONG2, Dongliang WANG1(), Jiaqing HE1,2, Jiaquan ZHANG1, Bin ZOU3   

  1. 1. Hubei Key Laboratory of Mine Environmental Pollution Control & Remediation, School of Environmental Science and Engineering, Hubei Polytechnic University, Huangshi 435002, China
    2. Hubei Key Laboratory for Efficient Utilization and Agglomeration of Metallurgic Mineral Resources, School of Resource and Environment, Wuhan University of Science and Technology, Wuhan 430081, China
    3. Hubei Zhongyi Environmental Engineering Co. , Ltd. , Huangshi 435003, China
  • Received:2025-01-07 Online:2025-11-20 Published:2025-11-20
  • Contact: Dongliang WANG

摘要:

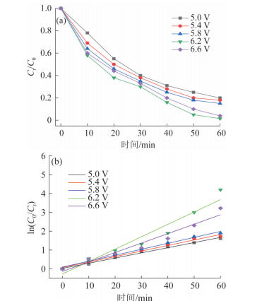
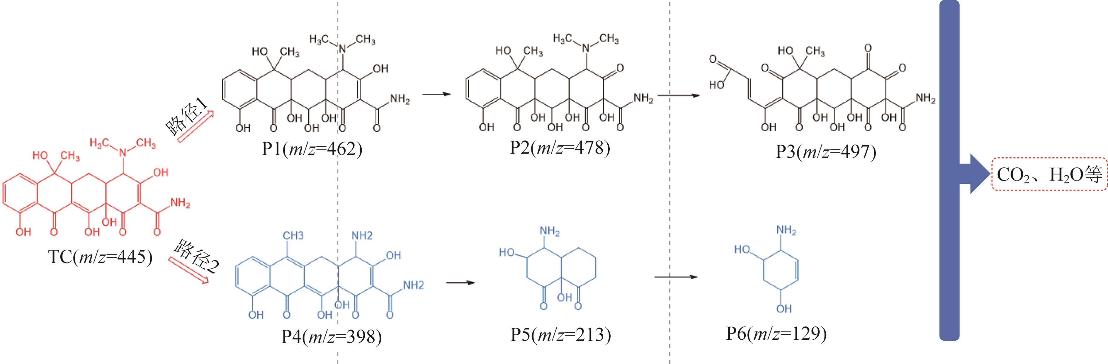
构建了氟掺杂氧化锡(FTO)阳极和硫化镍负载活性碳毡(NiS@ACF)阴极的阴阳极协同电Fenton体系,通过阳极电解水产生H2O2和阴极绿色活化H2O2产生·OH降解持久性有机物四环素(TC)。结果表明,以FTO为阳极、Pt电极为阴极,1.0 mol/L Na2CO3为电解质,施加6.2 V电压电解10 min可产生68.9 mg/L的H2O2。以FTO为阳极、NiS@ACF为阴极,6.2 V电压下处理20 mg/L的TC溶液60 min,TC的降解率可达99%。自由基猝灭实验和EPR测试证实·OH为电Fenton体系的关键活性物种。利用液相色谱-质谱鉴定了TC降解过程中的中间产物,提出了TC可能存在两种降解途径,并利用ECOSAR程序预测了TC及降解中间产物的生物毒性。研究验证了采用阴阳极协同的绿色电Fenton系统降解有机物的可行性,为难降解有机物的去除提供了一种新的方法。

关键词: 过氧化氢, 协同处理, 绿色电Fenton, 四环素

Abstract:

The cathode-anode synergistic electro-Fenton system was constructed with fluorine doped tin oxide (FTO) anode and nickel sulfide loaded activated carbon felt (NiS@ACF) cathode. H2O2 was generated through electrolysis of water on anode, and ·OH was produced by activation of H2O2 on cathode for degradation of persistent organic compound tetracycline (TC). The results showed that 68.9 mg/L of H2O2 could be produced using FTO as anode and Pt electrode as cathode, 1.0 mol/L Na2CO3 as the electrolyte, and a voltage of 6.2 V for 10 minutes during electrolysis. Using FTO anode and NiS@ACF cathode, the degradation ratio of TC could reach 99% in 60 minutes with initial TC concentration of 20 mg/L. The free radical quenching experiment and EPR test confirmed that ·OH was the key active species in the electro-Fenton system. The intermediate products in the degradation process of TC were identified using liquid chromatography-mass spectrometry, and two possible degradation pathways of TC were proposed. The biological toxicity of TC and its degradation intermediate products were predicted by the ECOSAR program. The study verified the feasibility of the green electro-Fenton system with anode-cathode for the degradation of organic matter, providing a new method for the removal of recalcitrant organic matter.

Key words: H2O2, synergistic treatment, green electro-Fenton, tetracycline

中图分类号: