| [1] |
齐亚兵,罗橙,孟晓荣,等. 间/对甲酚异构体分离精制技术进展[J]. 现代化工,2021,41(10):51-56.
|
|
QI Yabing, LUO Cheng, MENG Xiaorong,et al. Research progress on separation and purification of m-/p-cresol isomers[J]. Modern Chemical Industry,2021,41(10):51-56.
|
| [2] |
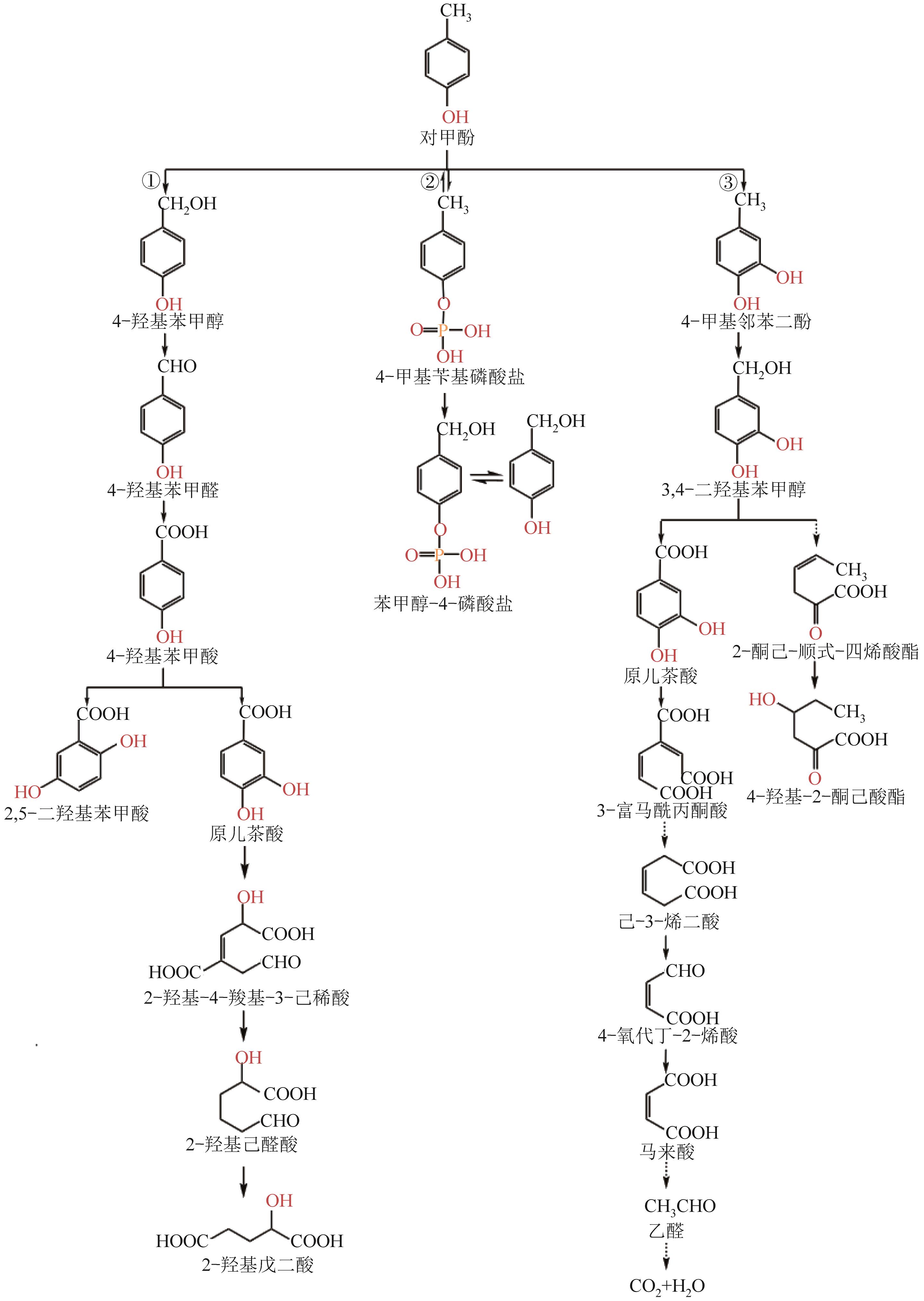
刘靓,聂麦茜,白雪蕊,等. 施氏假单胞菌N2代谢邻/间/对甲酚的特性研究[J]. 环境化学,2019,38(8):1716-1723.
|
|
LIU Liang, NIE Maiqian, BAI Xuerui,et al. Characterization of o-/m-/p-cresol Metabolizated by Pseudomonas stutzeri N2[J]. Environmental Chemistry,2019,38(8):1716-1723.
|
| [3] |
MATHUR A K, BALA Shashi, MAJUMDER C B,et al. Kinetics studies of p-cresol biodegradation by using Pseudomonas putida in batch reactor and in continuous bioreactor packed with calcium alginate beads[J]. Water Science and Technology, 2010, 62(12):2920-2929. doi: 10.2166/wst.2010.736
|
| [4] |
SINGH T, SRIVASTAVA N, BHATIYA A K,et al. Analytical study of effective biodegradation of p-cresol using Serratia marcescens ABHI001:Application in bioremediation[J]. Biotech, 2017, 7(6):384. doi: 10.1007/s13205-017-1006-0
|
| [5] |
张立志,余思彤,袁欣,等. 丛毛单胞菌对邻甲酚及对甲酚的降解特性[J]. 环境污染与防治,2020,42(7):820-825.
|
|
ZHANG Lizhi, YU Sitong, YUAN Xin,et al. Degradation characteristics of o-cresol and p-cresol by Comamonas sp.[J]. Environmental Pollution & Control,2020,42(7):820-825.
|
| [6] |
|
|
LI Yaodong, WANG Guoying. The characteristics of phenol removal by an aerobic denitrifying bacterium BN5[J]. Industrial Water Treatment, 2020, 40(2):40-44. doi: 10.11894/iwt.2018-1120
|
| [7] |
ZHAO Ling, XIAO Donglin, LIU Yang,et al. Biochar as simultaneous shelter,adsorbent,pH buffer,and substrate of Pseudomonas citronellolis to promote biodegradation of high concentrations of phenol in wastewater[J]. Water Research, 2020, 172:115494. doi: 10.1016/j.watres.2020.115494
|
| [8] |
ZHAO Tiantao, GAO Yanhui, YU Tiantian,et al. Biodegradation of phenol by a highly tolerant strain Rhodococcus ruber C1:Biochemical characterization and comparative genome analysis[J]. Ecotoxicology and Environmental Safety, 2021, 208:111709. doi: 10.1016/j.ecoenv.2020.111709
|
| [9] |
HUANG Anping, SHAO Penghui, WANG Qingyao,et al. Enhanced phenol biodegradation by Burkholderia PHL 5 with the assistant of nitrogen[J]. Journal of Water Process Engineering, 2022, 47:102771. doi: 10.1016/j.jwpe.2022.102771
|
| [10] |
XU Nan, QIU Chong, YANG Qiyuan,et al. Analysis of phenol biodegradation in antibiotic and heavy metal resistant Acinetobacter lwoffii NL1[J]. Frontiers in Microbiology, 2021, 12:725755. doi: 10.3389/fmicb.2021.725755
|
| [11] |
MAGHARBEH M K, KHLEIFAT K M,et al. Biodegradation of phenol by bacillus simplex:Characterization and kinetics study[J]. Applied Environmental Biotechnology,2021,6(2):1-12.
|
| [12] |
CHO A R, LIM E J, VEERANAGOUDA Y,et al. Identification of a p-cresol degradation pathway by a GFP-based transposon in Pseudomonas and its dominant expression in colonies[J]. Journal of Microbiology and Biotechnology, 2011, 21(11):1179-1183. doi: 10.4014/jmb.1104.04006
|
| [13] |
SINGH R K, KUMAR S, KUMAR S,et al. Biodegradation kinetic studies for the removal of p-cresol from wastewater using Gliomastix Indicus MTCC 3869[J]. Biochemical Engineering Journal, 2008, 40(2):293-303. doi: 10.1016/j.bej.2007.12.015
|
| [14] |
SINGH T, SRIVASTAVA N, TEKLEMARIAM A D,et al. Kinetics investigation of phenolic pollutant degradation via Serratia marcescens ABHI 001 and its application in wastewater treatment[J]. Chemosphere, 2022, 309(Pt 1):136532. doi: 10.1016/j.chemosphere.2022.136532
|
| [15] |
TALLUR P N, MEGADI V B, KAMANAVALLI C M,et al. Biodegradation of p-cresol by Bacillus sp. strain PHN 1[J]. Current Microbiology, 2006, 53(6):529-533. doi: 10.1007/s00284-006-0309-x
|
| [16] |
PANIGRAHY N, BARIK M, SAHOO R K,et al. Metabolic profile analysis and kinetics of p-cresol biodegradation by an indigenous Pseudomonas citronellolis NS1 isolated from coke oven wastewater[J]. International Biodeterioration & Biodegradation, 2020, 147:104837. doi: 10.1016/j.ibiod.2019.104837
|
| [17] |
DU Lei, MA Li, QI Feifei,et al. Characterization of a unique pathway for 4-cresol catabolism initiated by phosphorylation in corynebacterium glutamicum[J]. Journal of Biological Chemistry, 2016, 291(12):6583-6594. doi: 10.1074/jbc.m115.695320
|
| [18] |
MÜLLER J A, GALUSHKO A S, KAPPLER A,et al. Initiation of anaerobic degradation of p-cresol by formation of 4-hydroxybenzylsuccinate in Desulfobacterium cetonicum [J]. Journal of Bacteriology, 2001, 183(2):752-757. doi: 10.1128/jb.183.2.752-757.2001
|
| [19] |
WANG Shenghui, ZHANG Chen, Zhiwei LÜ,et al. Degradation of 3,5,6-trichloro-2-pyridinol by a microbial consortium in dryland soil with anaerobic incubation[J]. Biodegradation, 2019, 30(2):161-171. doi: 10.1007/s10532-019-09873-y
|
| [20] |
YUE Caixu, JIA Nan, Xueru LÜ,et al. Identification of two possible metabolic pathways responsible for the biodegradation of 3,5,6-trichloro-2-pyridinol in Micrococcus luteus ML[J]. Biodegradation, 2023, 34(4):371-381. doi: 10.1007/s10532-023-10023-8
|
| [21] |
ZHANG Chen, WANG Shenghui, Zhiwei LÜ,et al. Nano Fe 3O 4 accelerates anoxic biodegradation of 3,5,6-trichloro-2-pyridinol[J]. Chemosphere, 2019, 235:185-193. doi: 10.1016/j.chemosphere.2019.06.114
|
| [22] |
WANG Shenghui, ZHANG Chen, YAN Yanchun. Biodegradation of methyl parathion and p-nitrophenol by a newly isolated Agrobacterium sp. strain Yw12[J]. Biodegradation, 2012, 23(1):107-116. doi: 10.1007/s10532-011-9490-0
|
| [23] |
HAJJOUJI H EL, BADDI G AIT, YAACOUBI A,et al. Optimisation of biodegradation conditions for the treatment of olive mill wastewater[J]. Bioresource Technology, 2008, 99(13):5505-5510. doi: 10.1016/j.biortech.2007.11.005
|
| [24] |
徐玲莉,刘玉香,董静,等. 苯酚高效降解菌群的群落结构及其代谢产物研究[J]. 工业水处理,2024,44(9):85-90.
|
|
XU Lingli, LIU Yuxiang, DONG Jing,et al. Community structure of highly efficient phenol degrading bacteria and phenol metabolites[J]. Industrial Water Treatment,2024,44(9):85-90.
|
| [25] |
AHAMAD P Y A, KUNHI A A M, DIVAKAR S. New metabolic pathway for o-cresol degradation by Pseudomonas sp. CP4 as evidenced by 1H NMR spectroscopic studies[J]. World Journal of Microbiology and Biotechnology, 2001, 17(4):371-377. doi: 10.1023/a:1016611702882
|
| [26] |
AMBREEN S, YASMIN A. Novel degradation pathways for chlorpyrifos and 3,5,6-trichloro-2-pyridinol degradation by bacterial strain Bacillus thuringiensis MB497 isolated from agricultural fields of Mianwali,Pakistan[J]. Pesticide Biochemistry and Physiology, 2021, 172:104750. doi: 10.1016/j.pestbp.2020.104750
|