Industrial Water Treatment ›› 2025, Vol. 45 ›› Issue (12): 47-54. doi: 10.19965/j.cnki.iwt.2025-0059

• RESEARCH AND EXPERIMENT • Previous Articles     Next Articles

Mechanism of self-supporting cathode for degradation of ofloxacin by electro-Fenton process

Hongxiang LI1(), Shuo CHENG1, Yehui QI1, Hongli LI2, Kun ZHAO1(), Junfeng NIU1   

  1. 1. College of Environmental Science and Engineering, North China Electric Power University, Beijing 100096, China
    2. Petrochina Lanzhou Petrochemical Company, Lanzhou 730060, China
  • Received:2025-05-31 Online:2025-12-20 Published:2026-01-05
  • Contact: Kun ZHAO

自支撑阴极电Fenton降解氧氟沙星性能与机制研究

李洪祥1(), 程硕1, 齐叶惠1, 李鸿莉2, 赵坤1(), 牛军峰1   

  1. 1. 华北电力大学环境科学与工程学院,北京 100096
    2. 中国石油兰州石化公司,甘肃 兰州 730060
  • 通讯作者: 赵坤
  • 作者简介:

    李洪祥(1998— ),硕士,E-mail:

  • 基金资助:
    国家自然科学基金区域创新发展联合基金重点项目(U22A20241); 国家自然科学基金青年基金项目(52200094)

Abstract:

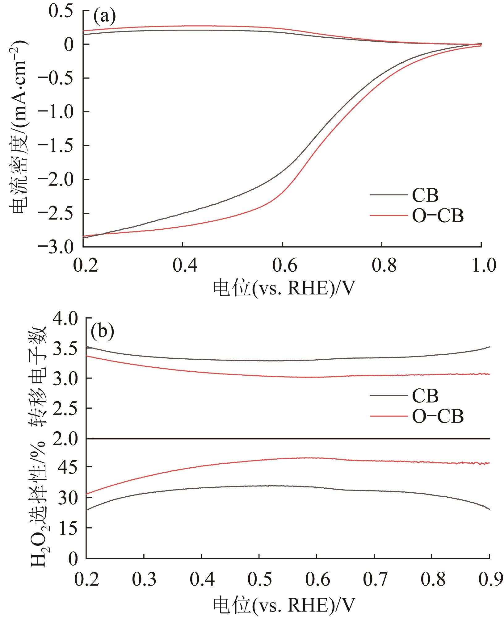
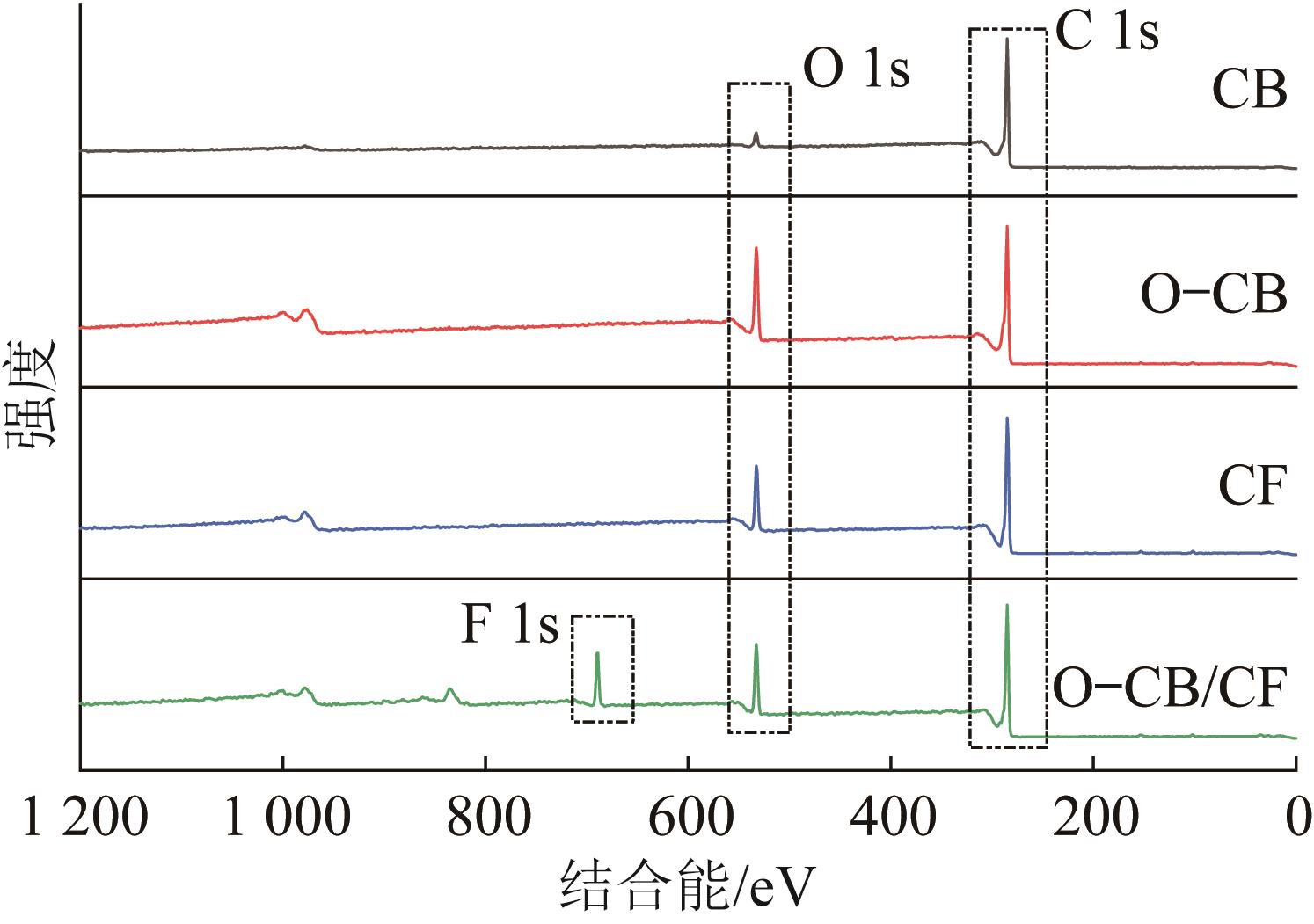
Highly efficient and stable self-supporting cathode material are key to the application of Electro-Fenton technology in practical wastewater treatment. In this study, acid treatment-binding-roasting method was utilized to prepare an oxygen-doped carbon black modified carbon felt(O-CB/CF) self-supporting electrode. The structure of the electrode material was characterized using scanning electron microscopy, X-ray diffraction, and X-ray photoelectron spectroscopy, confirming the successful loading of O-CB on the cathode surface. Oxygen doping significantly enhanced the electron transfer properties and the two-electron oxygen reduction capability of CB, thus facilitating the electrosynthesis of H2O2 and boosting electro-Fenton performance toward pollutants degradation. Under the optimal conditions (applied potential of 0.2 V vs. RHE, pH=5, initial ofloxacin(OFL) concentration of 20 mg/L, Fe2+ concentration of 20 mg/L), the O-CB/CF-based EF system could completely degrade OFL within 10 min, achieving a total organic carbon(TOC) removal rate of 48.5% within 120 min, which was 2.5 times higher than that of CB/CF. The radical capture experiments and electron paramagnetic spectra showed that ·OH was the main active species in this system. The good stability of O-CB/CF was proved by 20 consecutive OFL degradation experiments with removal efficiency of 100%.

Key words: oxygen-doped carbon black, electro-Fenton, modified carbon felt, ofloxacin

摘要:

高效稳定自支撑阴极材料是电Fenton技术在水处理领域应用的关键。采用酸处理-黏结-焙烧法制备氧掺杂炭黑修饰碳毡(O-CB/CF)自支撑碳阴极。扫描电子显微镜、X射线衍射和X射线光电子能谱等技术表明O-CB成功负载到碳毡表面并且在碳毡表面均匀分布。氧掺杂显著提高了炭黑材料的电子转移性能和两电子氧还原选择性,通过促进过氧化氢(H2O2)电合成强化其电Fenton降解污染物性能。以O-CB/CF作为阴极,在最佳反应条件下〔电压为0.2 V vs. RHE,pH为5,氧氟沙星(OFL)初始质量浓度为20 mg/L,Fe2+质量浓度为20 mg/L〕,反应10 min废水中的OFL去除率可接近100%,反应120 min后总有机碳去除率可达48.5%,为CB/CF阴极体系下的2.5倍。自由基捕获实验和电子顺磁光谱结果表明·OH是该体系中的主要活性物种。连续20次降解实验OFL的去除率均接近100%,证明制备的O-CB/CF自支撑碳阴极具有较好的稳定性。

关键词: 氧掺杂炭黑, 电Fenton, 改性碳毡, 氧氟沙星

CLC Number: