Industrial Water Treatment ›› 2026, Vol. 46 ›› Issue (1): 156-162. doi: 10.19965/j.cnki.iwt.2025-0092

• RESEARCH AND EXPERIMENT • Previous Articles     Next Articles

Prediction of concentrated drainage water quality in cooling tower by interpretable machine learning model

Yongjie WAN1(), Ying ZHANG1, Peng TONG2, Xing TIAN1, Hanhua HE1, Zhenguo CHEN3,4, Xiaojun WANG4,5()   

  1. 1. China Energy Engineering Group Guangdong Electric Power Design Institute Co. , Ltd. , Guangzhou 510700, China
    2. Huaneng Dongguan Gas Turbine Thermal Power Co. , Ltd. , Dongguan 523593, China
    3. School of Environment, South China Normal University, Guangzhou 510006, China
    4. Guangzhou Hualv Environmental;Protection Technology Co. , Ltd. , Guangzhou 510700, China
    5. School of Environment and Energy, South China University of Technology, Guangzhou 510006, China
  • Received:2025-03-27 Online:2026-01-20 Published:2026-02-03
  • Contact: Xiaojun WANG

基于可解释机器学习模型预测电厂冷却塔浓缩排水水质

万勇杰1(), 张赢1, 童鹏2, 田幸1, 何汉华1, 陈振国3,4, 汪晓军4,5()   

  1. 1. 中国能源建设集团广东省电力设计研究院有限公司,广东 广州 510700
    2. 华能东莞燃机热电 有限责任公司,广东 东莞 523593
    3. 华南师范大学环境学院,广东 广州 510006
    4. 广州市华绿 环保科技有限公司,广东 广州 510700
    5. 华南理工大学环境与能源学院,广东 广州 510006
  • 通讯作者: 汪晓军
  • 作者简介:

    万勇杰(1994— ),硕士,E-mail:

  • 基金资助:
    中国能源建设集团广东省电力设计研究院有限公司企业级前瞻性课题项目(EX11131W)

Abstract:

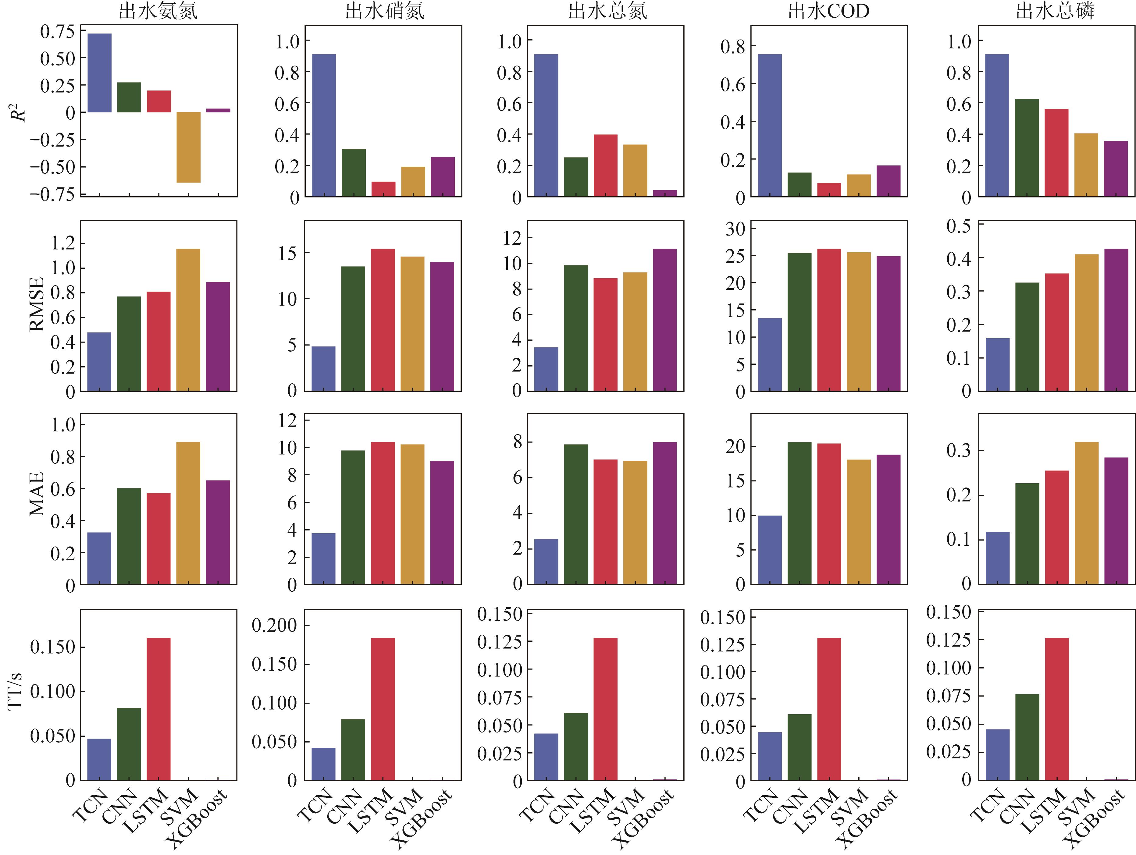
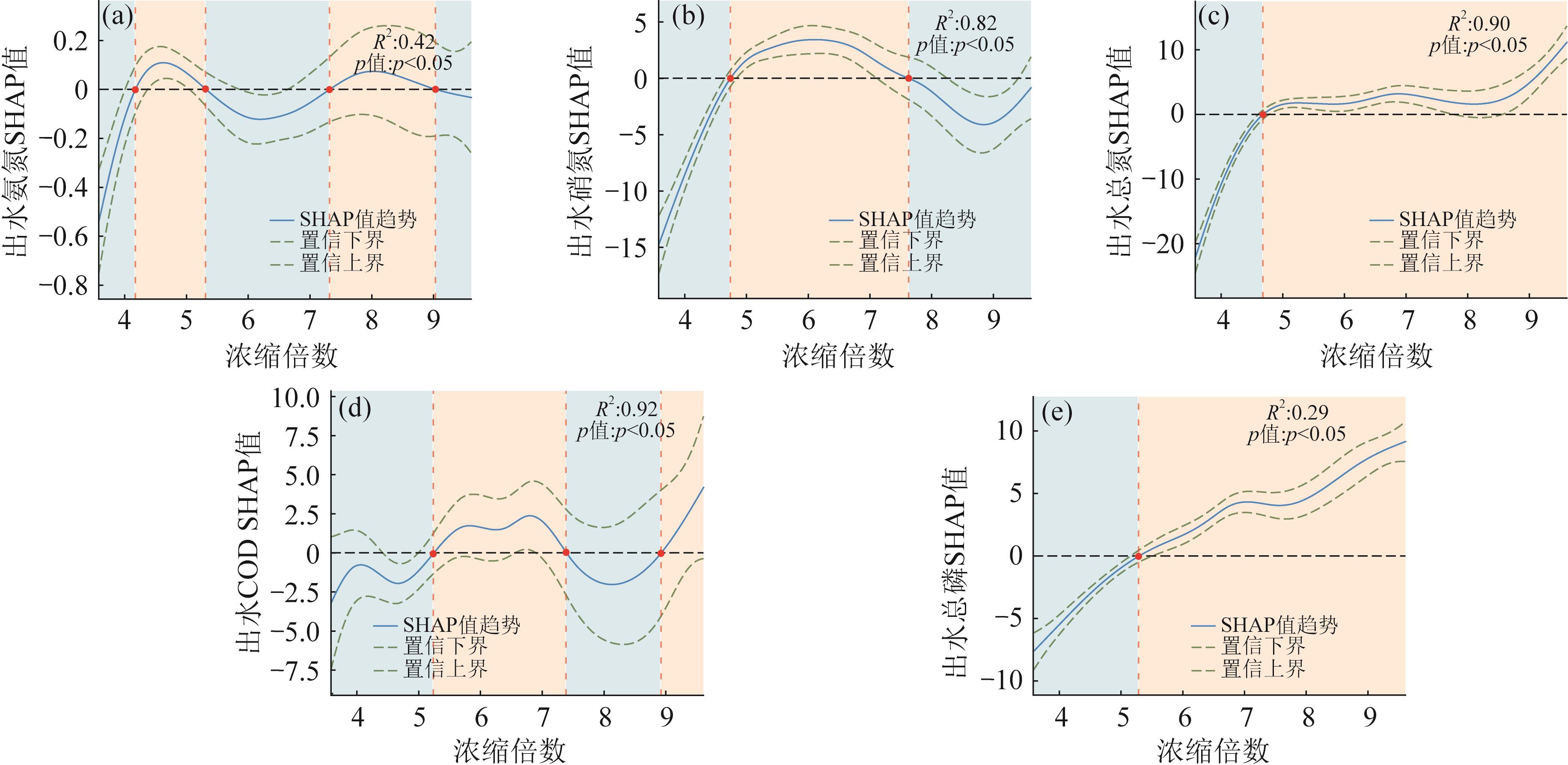
Taking the circulating cooling water system of a certain power plant as the research object, an integrated prediction model based on “concentration ratio + influent water quality + effluent water quality” was constructed. Combined with a causal analysis framework, the relationship between effluent water quality and make-up water quality was systematically explored, and the key factors affecting effluent water quality were identified. Five relatively mature machine learning models were selected for distributed learning and prediction of the influent and effluent (i.e., make-up water and drainage) water quality of the circulating cooling water system, including temporal convolutional network (TCN), long short-term memory network (LSTM), convolutional neural network (CNN), extreme gradient boosting (XGBoost), and support vector machine (SVM). Simulation results showed that the TCN model performed optimally in all prediction tasks, with an average R 2 of 0.86. The root mean square error (RMSE) and mean absolute error (MAE) were 3.15 and 2.47, respectively, and the inference time was less than 1 second, enabling fast and accurate prediction of effluent water quality. Causal inference analysis indicated that each water quality index of the effluent was most significantly affected by its corresponding make-up water index, followed by the concentration ratio. Further analysis by SHAP (Shapley additive explanations) revealed that the pH of influent had different directions of influence on different effluent indices, with a positive effect on ammonia nitrogen, and negative effects on total nitrogen, nitrate nitrogen, COD, and total phosphorus. When the concentration ratio reached 5, the system approached dynamic equilibrium, and the impact of the concentration ratio on effluent water quality weakened.

Key words: machine learning, circulating cooling water system, water quality prediction, causal inference, SHAP

摘要:

以某发电厂循环冷却系统为对象,构建了一种基于“浓缩倍数+进水水质+排水水质”的集成预测模型,并结合因果分析框架,系统探讨了排水水质与补水水质的关系,识别了影响排水水质的关键因素。选取5种相对成熟的机器学习模型,包括时序卷积网络(TCN)、长短期记忆网络(LSTM)、卷积神经网络(CNN)、极限梯度提升(XGBoost)以及支持向量机(SVM),对循环冷却系统进出水(即补水与排水)水质数据进行分布式学习和预测。仿真结果表明,TCN模型在各项预测任务中表现最优,平均R²达0.86,均方根误差(RMSE)和平均绝对误差(MAE)分别为3.15和2.47,且推断时间低于1 s,可实现对排水水质的快速、准确预测。因果推断分析显示,排水各水质指标受其对应补水指标影响最大,其次为浓缩倍数。SHAP(Shapley additive explanations)分析进一步揭示,进水pH对不同出水指标的影响方向存在差异:对氨氮呈正效应,对总氮、硝氮、COD及总磷呈负效应;当浓缩倍数达到5时,系统趋于动力学平衡,浓缩比对排水水质的影响减弱。

关键词: 机器学习, 循环冷却系统, 水质预测, 因果推断, SHAP

CLC Number: