| 1 |
CHEN Hao, GENG Haopeng, LING Huiting,et al. Modeling the coal-to-gas switch potentials in the power sector:A case study of China[J]. Energy, 2020, 192:116629. doi: 10.1016/j.energy.2019.116629
|
| 2 |
|
|
XIE Kechang. There are still constraints to the development of modern coal chemical industry during the 14th Five-Year Plan[J]. China Petroleum Enterprise, 2020(9):11-12. doi: 10.3969/j.issn.1672-4267.2020.09.003
|
| 3 |
ZHU Hao, HAN Yuxing, XU Chunyan,et al. Overview of the state of the art of processes and technical bottlenecks for coal gasification wastewater treatment[J]. Science of the Total Environment, 2018, 637/638:1108-1126. doi: 10.1016/j.scitotenv.2018.05.054
|
| 4 |
KUMAR A, SAMADDER S R. Performance evaluation of anaerobic digestion technology for energy recovery from organic fraction of municipal solid waste:A review[J]. Energy, 2020, 197:117253. doi: 10.1016/j.energy.2020.117253
|
| 5 |
GHATTAS A K, FISCHER F, WICK A,et al. Anaerobic biodegradation of (emerging) organic contaminants in the aquatic environment[J]. Water Research, 2017, 116:268-295. doi: 10.1016/j.watres.2017.02.001
|
| 6 |
SHI Jingxin, XU Chunyan, HAN Yuxing,et al. Enhanced anaerobic degradation of nitrogen heterocyclic compounds with methanol,sodium citrate,chlorella,spirulina,and carboxymethylcellulose as co-metabolic substances[J]. Journal of Hazardous Materials, 2020, 384:121496. doi: 10.1016/j.jhazmat.2019.121496
|
| 7 |
王鸣,吴海珍,刘雷,等. 厌氧条件下不同共基质对焦化污泥降解多环芳烃的影响[J]. 生态环境学报,2016,25(3):510-516.
|
|
WANG Ming, WU Haizhen, LIU Lei,et al. Effects of different co-substrates on the biodegradation of polycyclic aromatic hydrocarbons by coking sewage sludge under anaerobic condition[J]. Ecology and Environmental Sciences,2016,25(3):510-516.
|
| 8 |
|
|
ZHANG Zhanmei, FU Ting. Progress in treatment technologies for coal gasification wastewater[J]. Environmental Science and Management, 2014, 39(10):29-33. doi: 10.3969/j.issn.1673-1212.2014.10.007
|
| 9 |
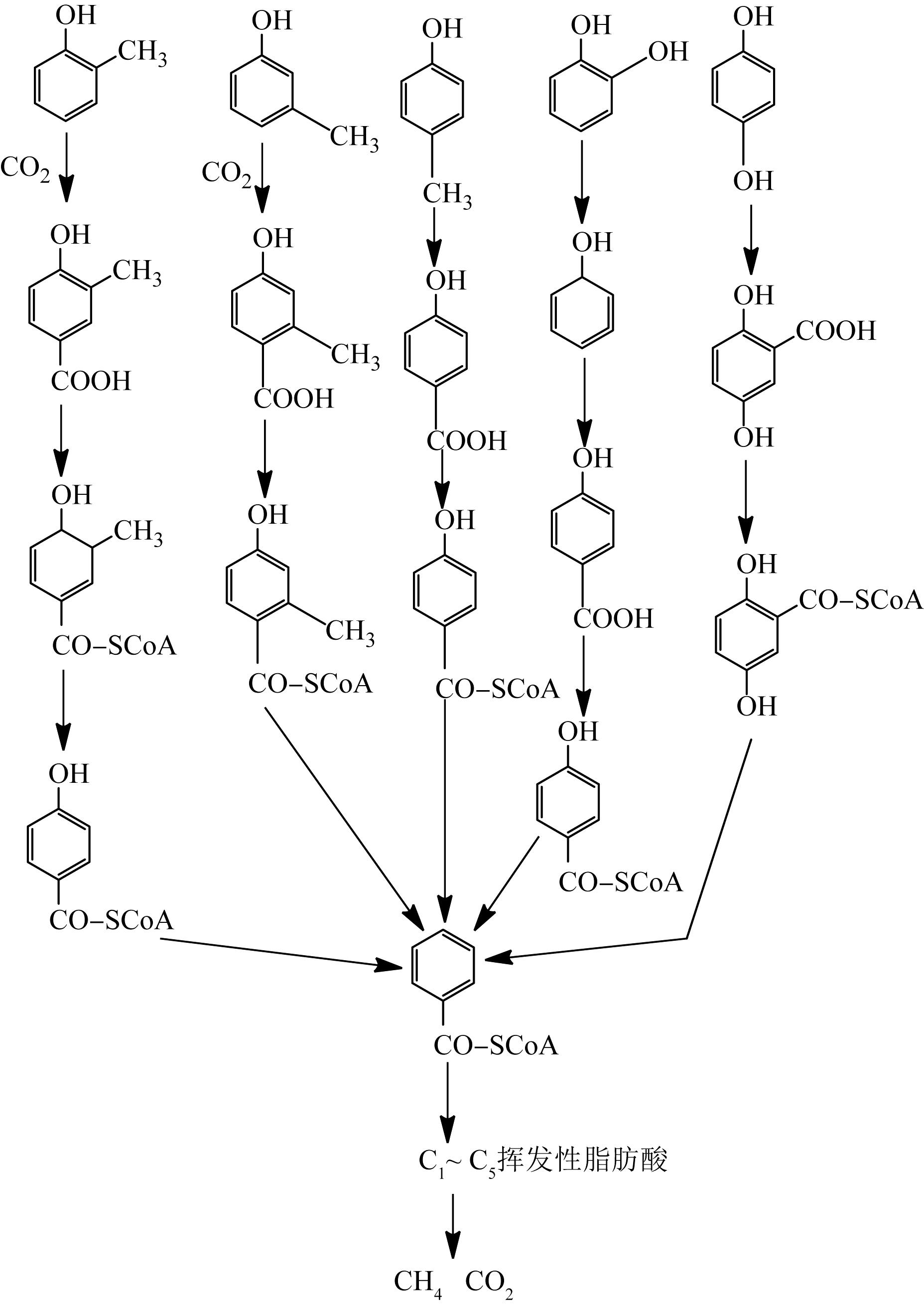
JIA Shengyong, HAN Hongjun, ZHUANG Haifeng,et al. The pollutants removal and bacterial community dynamics relationship within a full-scale British Gas/Lurgi coal gasification wastewater treatment using a novel system[J]. Bioresource Technology, 2016, 200:103-110. doi: 10.1016/j.biortech.2015.10.005
|
| 10 |
WANG Wei, HAN Hongjun, YUAN Min,et al. Treatment of coal gasification wastewater by a two-continuous UASB system with step-feed for COD and phenols removal[J]. Bioresource Technology, 2011, 102(9):5454-5460. doi: 10.1016/j.biortech.2010.10.019
|
| 11 |
XU Weichao, ZHANG Yuxiu, CAO Hongbin,et al. Metagenomic insights into the microbiota profiles and bioaugmentation mechanism of organics removal in coal gasification wastewater in an anaerobic/anoxic/oxic system by methanol[J]. Bioresource Technology, 2018, 264:106-115. doi: 10.1016/j.biortech.2018.05.064
|
| 12 |
徐鹏. 煤气废水杂环与多环芳烃化合物生物降解及抑制性研究[D]. 哈尔滨:哈尔滨工业大学,2016.
|
|
XU Peng. Research on biodegradability and inhibitory properties of heterocyclic compounds and polycyclic aromatic hydrocarbons[D]. Harbin:Harbin Institute of Technology,2016.
|
| 13 |
SHI Jingxin, ZHENG Mengqi, ZHANG Zhengwen,et al. Enhanced anaerobic degradation of quinoline and indole with dried Chlorella pyrenoidosa powder as co-metabolic substance[J]. Journal of Cleaner Production, 2021, 285:124909. doi: 10.1016/j.jclepro.2020.124909
|
| 14 |
康珍. 完全混合式厌氧生物膜法处理煤制气含酚废水的研究[D]. 哈尔滨:哈尔滨工业大学,2020.
|
|
KANG Zhen. Research on treatment of phenol wastewater in coal gasification by completely mixed anaerobic biofilm process[D]. Harbin:Harbin Institute of Technology,2020.
|
| 15 |
|
|
WANG Wei. Research on treatment efficiency of phenolic compounds in coal gasification wastewater by enhanced anaerobic process[D]. Harbin:Harbin Institute of Technology, 2011. doi: 10.1016/j.biortech.2011.10.002
|
| 16 |
李达. 水解酸化-UASB工艺处理煤制气废水的研究[D]. 哈尔滨:哈尔滨工业大学,2018.
|
|
LI Da. Research on hydrolysis acidification-UASB process treating coal gasification wastewater[D]. Harbin:Harbin Institute of Technology,2018.
|
| 17 |
葛小利. Fe3O4纳米颗粒强化厌氧降解煤制气废水中酚污染物的研究[D]. 哈尔滨:哈尔滨工业大学,2018.
|
|
GE Xiaoli. Research on anaerobic degradation of phenolic pollutants in coal gasification wastewater by magnetite nanoparticles[D]. Harbin:Harbin Institute of Technology,2018.
|
| 18 |
李雅婕. 厌氧强化工艺处理煤气化废水中酚降解和产甲烷效能的研究[D]. 上海:上海交通大学,2017.
|
|
LI Yajie. Research on treatment efficiency of phenol degradation and methane production in coal gasification wastewater by enhanced anaerobic process[D]. Shanghai:Shanghai Jiao Tong University,2017.
|
| 19 |
RAMAKRISHNAN A, GUPTA S K. Anaerobic biogranulation in a hybrid reactor treating phenolic waste[J]. Journal of Hazardous Materials, 2006, 137(3):1488-1495. doi: 10.1016/j.jhazmat.2006.04.034
|
| 20 |
RAMAKRISHNAN A, GUPTA S K. Effect of COD/NO 3 --N ratio on the performance of a hybrid UASB reactor treating phenolic wastewater[J]. Desalination, 2008, 232(1/2/3):128-138. doi: 10.1016/j.desal.2007.09.016
|
| 21 |
RAMAKRISHNAN A, GUPTA S K. Effect of hydraulic retention time on the biodegradation of complex phenolic mixture from simulated coal wastewater in hybrid UASB reactors[J]. Journal of Hazardous Materials, 2008, 153(1/2):843-851. doi: 10.1016/j.jhazmat.2007.09.034
|
| 22 |
RAMAKRISHNAN A, GUPTA S K. Effect of effluent recycling and shock loading on the biodegradation of complex phenolic mixture in hybrid UASB reactors[J]. Bioresource Technology, 2008, 99(9):3745-3753. doi: 10.1016/j.biortech.2007.07.014
|
| 23 |
RAMAKRISHNAN A, SURAMPALLI R Y. Performance of anaerobic hybrid reactors for the treatment of complex phenolic wastewaters with biogas recirculation[J]. Bioresource Technology, 2013, 129:26-32. doi: 10.1016/j.biortech.2012.11.035
|
| 24 |
RAMAKRISHNAN A, SURAMPALLI R Y. Effect of media packing density on the performance of anaerobic hybrid reactors for the treatment of complex phenolic wastewater[J]. Journal of Environmental Engineering, 2014, 140(2):04013005. doi: 10.1061/(asce)ee.1943-7870.0000785
|
| 25 |
|
|
YU Guangxin, ZHANG Zhenjia, JI Qinhong,et al. Experimental study on the treatment of wastewater from crushed coal pressuring and gasification by EGSB-contact oxidation process[J]. Industrial Water Treatment, 2014, 34(2):55-59. doi: 10.11894/1005-829x.2014.34(2).055
|
| 26 |
SUIDAN M T, SIEKERKA G L, Shuwen KAO,et al. Anaerobic filters for the treatment of coal gasification wastewater[J]. Biotechnology and Bioengineering, 1983, 25(6):1581-1596. doi: 10.1002/bit.260250612
|
| 27 |
NAKHLA G F, SUIDAN M T. Anaerobic toxic wastes treatment:Dilution effects[J]. Journal of Hazardous Materials, 1995, 42(1):71-86. doi: 10.1016/0304-3894(95)00007-h
|
| 28 |
徐娜. 厌氧流化床微生物燃料电池组处理工业废水[D]. 青岛:青岛科技大学,2015.
|
|
XU Na. The industry wastewater using anaerobic fluidized bed microbial fuel cell[D]. Qingdao:Qingdao University of Science & Technology,2015.
|
| 29 |
|
|
|
| 30 |
LI Lei, XU Ying, DAI Xiaohu,et al. Principles and advancements in improving anaerobic digestion of organic waste via direct inter species electron transfer[J]. Renewable and Sustainable Energy Reviews, 2021, 148:111367. doi: 10.1016/j.rser.2021.111367
|
| 31 |
WANG Zixin, WANG Tengfei, SI Buchun,et al. Accelerating anaerobic digestion for methane production:Potential role of direct inter species electron transfer[J]. Renewable and Sustainable Energy Reviews, 2021, 145:111069. doi: 10.1016/j.rser.2021.111069
|
| 32 |
HARWOOD C S, BURCHHARDT G, HERRMANN H,et al. Anaerobic metabolism of aromatic compounds via the benzoyl-CoA pathway[J]. FEMS Microbiology Reviews, 1998, 22(5):439-458. doi: 10.1111/j.1574-6976.1998.tb00380.x
|
| 33 |
WU Benteng, WANG Jing, HU Zhenhu,et al. Anaerobic biotransformation and potential impact of quinoline in an anaerobic methanogenic reactor treating synthetic coal gasification wastewater and response of microbial community[J]. Journal of Hazardous Materials, 2020, 384:121404. doi: 10.1016/j.jhazmat.2019.121404
|
| 34 |
SHI Jingxin, XU Chunyan, HAN Yuxing,et al. Enhanced anaerobic biodegradation efficiency and mechanism of quinoline,pyridine,and indole in coal gasification wastewater[J]. Chemical Engineering Journal, 2019, 361:1019-1029. doi: 10.1016/j.cej.2018.12.162
|
| 35 |
高明龙. 煤化工高浓有机废水处理及特征性有机污染物降解机理研究现状[J]. 洁净煤技术,2020,26(4):48-55.
|
|
GAO Minglong. Research status of coal chemical high-concentrated wastewater treatment and degradation mechanism of characteristic organic pollutants[J]. Clean Coal Technology,2020,26(4):48-55.
|
| 36 |
|
|
BAN Qiaoying, YUE Lifeng, LI Jianzheng,et al. Enrichment of naphthalene anaerobic degrading bacterial consortium and enhancement by redox mediators[J]. China Environmental Science, 2020, 40(7):3150-3155. doi: 10.3969/j.issn.1000-6923.2020.07.042
|
| 37 |
ZHANG X, YOUNG L Y. Carboxylation as an initial reaction in the anaerobic metabolism of naphthalene and phenanthrene by sulfidogenic consortia[J]. Applied and Environmental Microbiology, 1997, 63(12):4759-4764. doi: 10.1128/aem.63.12.4759-4764.1997
|
| 38 |
FOGHT J. Anaerobic biodegradation of aromatic hydrocarbons:Pathways and prospects[J]. Journal of Molecular Microbiology and Biotechnology, 2008, 15(2/3):93-120. doi: 10.1159/000121324
|
| 39 |
CHANG W,UM Y, HOFFMAN B,et al. Molecular characterization of polycyclic aromatic hydrocarbon (PAH)-degrading methanogenic communities[J]. Biotechnology Progress, 2008, 21(3):682-688. doi: 10.1021/bp049579l
|
| 40 |
唐涛涛,李江,杨钊,等. 多环芳烃生物降解及转化途径的研究进展[J]. 石油学报(石油加工),2019,35(2):403-413.
|
|
TANG Taotao, LI Jiang, YANG Zhao,et al. Research progress on biodegradation and transformation pathways of polycyclic aromatic hydrocarbons[J]. Acta Petrolei Sinica (Petroleum Processing Section),2019,35(2):403-413.
|
| 41 |
BERDUGO-CLAVIJO C, DONG Xiaoli,SOH J,et al. Methanogenic biodegradation of two-ringed polycyclic aromatic hydrocarbons[J]. FEMS Microbiology Ecology, 2012, 81(1):124-133. doi: 10.1111/j.1574-6941.2012.01328.x
|