工业水处理 ›› 2022, Vol. 42 ›› Issue (7): 125-132. doi: 10.19965/j.cnki.iwt.2021-1010

• 试验研究 • 上一篇    下一篇

Ag改性PVA/SrTiO3/TiO2光催化材料的制备及性能

刘富华()   

  1. 国投信开水环境投资有限公司,北京 101149
  • 收稿日期:2022-04-05 出版日期:2022-07-20 发布日期:2022-09-05
  • 作者简介:

    刘富华(1993— ),工程师。E-mail:

Preparation and performance of Ag modified PVA/SrTiO3/TiO2 photocatalytic materials

Fuhua LIU()   

  1. SDIC Xinkai Water Environment Investment Co. ,Ltd. ,Beijing 101149,China
  • Received:2022-04-05 Online:2022-07-20 Published:2022-09-05

摘要:

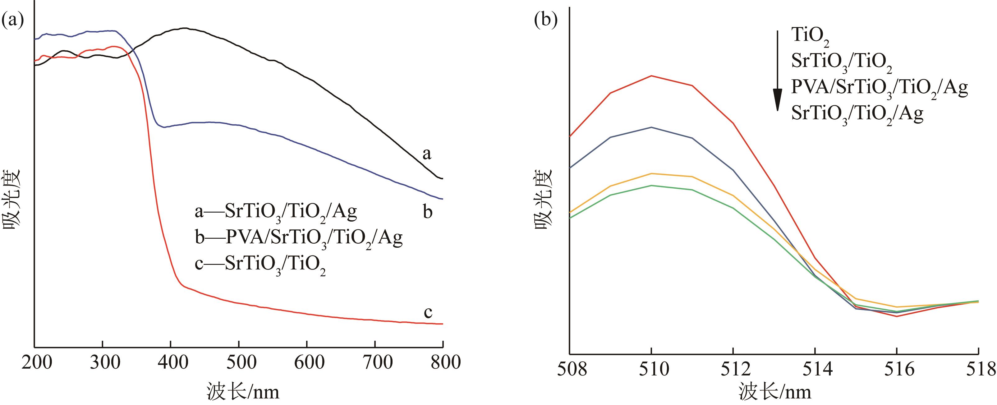
采用溶胶-凝胶法和化学沉淀法成功合成具有高光催化性能的可回收聚乙烯醇/钛酸锶/二氧化钛/银(PVA/SrTiO3/TiO2/Ag)复合材料。所合成样品通过XRD、SEM、TEM、EDX、XPS、UV-Vis DRS、荧光分光光度计和EPR进行表征。结构表征结果显示其具有均匀的、分层的多孔网络结构。UV-Vis DRS测试结果表明由于Ag原子的掺杂,复合材料在紫外-可见光区域具有强烈的光吸收能力,并且产生表面等离子共振效应。荧光分光光度计测试结果证实该复合材料有效地抑制了光生电子-空穴对的复合。对样品进行光催化活性测试,结果证明,在紫外光下PVA/SrTiO3/TiO2/Ag复合材料对亚甲基蓝(MB)的降解具有优异的光催化性能,且光催化性能与初始MB浓度和pH密切相关。重复性研究表明,该复合材料在3个循环后,仍保持初始光催化降解活性的近90%,展现出极好的稳定性和重复使用性。

关键词: 光催化, PVA/SrTiO3/TiO2/Ag, 可回收性

Abstract:

The recyclable polyvinyl alcohol/strontium titanate/titanium dioxide/silver(PVA/SrTiO3/TiO2/Ag) composite with high photocatalytic performance was successfully synthesized by sol-gel method and chemical precipitation method. The synthesized samples were characterized by XRD,SEM,TEM,EDX,XPS,UV-Vis DRS,fluorescence spectrophotometer and EPR. The structural characterization results showed that the PVA/SrTiO3/TiO2/Ag composite had a uniform,layered porous network structure. UV-Vis DRS showed that due to the doping of Ag atoms,the composite had strong light absorption in the ultraviolet and visible region and surface plasmon resonance effect. Fluorescence spectrophotometer test results confirmed that the composite material effectively inhibited the recombination of photogenerated electron-hole pairs. The samples were tested for photocatalytic activity,and the result showed that the PVA/SrTiO3/TiO2/Ag composite had excellent photocatalytic performance for the degradation of methylene blue(MB) under ultraviolet light. The photocatalytic performance was closely related to the initial MB concentration and pH. Repeated studies showed that the composite retained nearly 90% of the initial photocatalytic degradation performance after three cycles,exhibiting excellent stability and reusability.

Key words: photocatalyst, PVA/SrTiO3/TiO2/Ag, recyclability

中图分类号: