工业水处理 ›› 2025, Vol. 45 ›› Issue (8): 174-181. doi: 10.19965/j.cnki.iwt.2024-0579

• 试验研究 • 上一篇    

铁硫掺杂碳纳米材料活化过硫酸盐降解磺胺甲 唑

韦敏1,2(), 王榕3, 刘士华4, 佟宜霏5   

  1. 1. 中国石化胜利油田分公司海洋采油厂,山东 东营 257237
    2. 中国海洋大学海洋地球科学学院,山东 青岛 266100
    3. 山东省土壤污染防治中心,山东 济南 250101
    4. 山东省菏泽市生态环境事务中心,山东 菏泽 274000
    5. 齐鲁工业大学生物工程学部,山东 济南 250353
  • 收稿日期:2025-06-18 出版日期:2025-08-20 发布日期:2025-09-25
  • 作者简介:

    韦敏(1983— ),硕士,高级工程师,E-mail:

Degradation of sulfamethoxazole by activated peroxymonosulfate by iron sulfur doped carbon nanomaterials

Min WEI1,2(), Rong WANG3, Shihua LIU4, Yifei TONG5   

  1. 1. Ocean Oil Extraction Plant, Shengli Oilfield Branch of China Petroleum and Chemical Corporation, Dongying 257237, China
    2. School of Marine Geosciences, Ocean University of China, Qingdao 266100, China
    3. Soil Pollution Prevention and Control Centre of Shandong Province, Ji’nan 250101, China
    4. Ecological and Environmental Affairs Centre, Heze 274000, China
    5. School of Bioengineering, Qilu University of Technology, Ji’nan 250353, China
  • Received:2025-06-18 Online:2025-08-20 Published:2025-09-25

摘要:

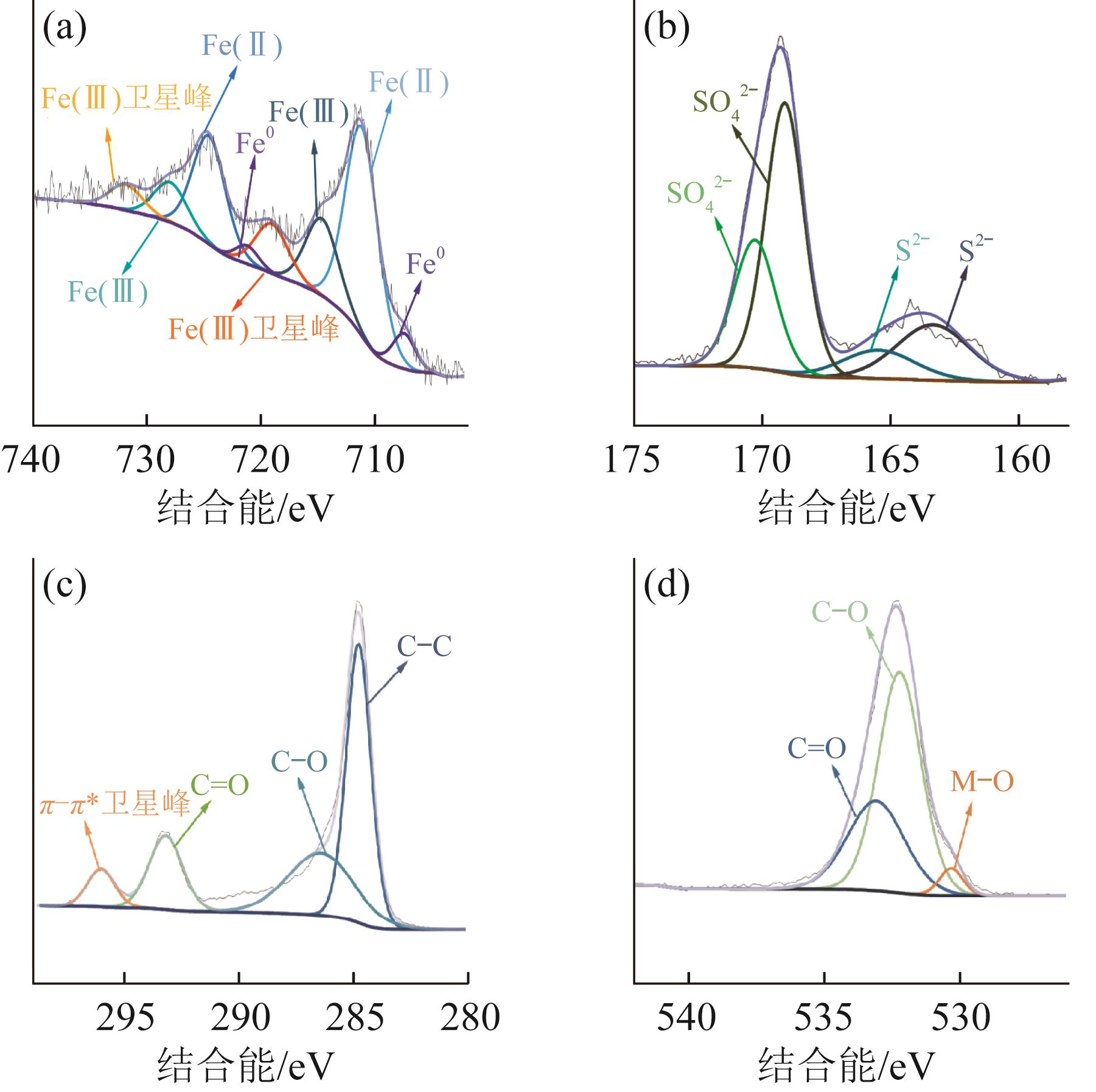
非均相铁基材料因具有效果显著、成本较低等优点被广泛应用于活化过一硫酸盐(PMS)降解有机污染物,而如何有效促进催化剂中Fe2+/Fe3+循环从而提升其活化性能一直是研究的重点。以卡拉胶作为天然的S源和C源,采用一步煅烧法制备了铁硫碳纳米材料(Fe-SC-x),通过扫描电镜和X射线衍射等表征手段分析了Fe-SC-x的微观形貌及物质组成,并将其应用于活化PMS降解抗生素污染物磺胺甲 唑(SMX),以评估其催化性能。结果表明,在900 ℃下制备的催化剂Fe-SC-900催化效果最佳,其活化PMS在40 min时可降解99.8%的SMX。此外,Fe-SC-900/PMS体系能够抵抗共存阴离子和天然有机质,具有良好的实际应用潜力。降解机理实验表明,·OH、SO4 ·-、O2 ·-1O2均存在于Fe-SC-900/PMS体系中,且1O2和SO4 ·-对SMX的降解起主导作用。

关键词: 高级氧化, 过一硫酸盐, 铁硫碳纳米材料, 抗生素降解, 磺胺甲唑

Abstract:

Heterogeneous iron-based materials have been widely used in the degradation of organic pollutants by activating peroxymonosulfate (PMS) due to the significant effect and low cost,and how to effectively promote Fe2+/Fe3+ cycling in the catalysts and thus enhance the catalytic performance has always been the focus of research. Iron-sulfur doped carbon composites (Fe-SC) were prepared by a one-step calcination method using carrageenan as the natural S and C source. X-ray diffraction,scanning electron microscopy,and other characterization techniques were used to analyze the microscopic morphology and material composition of Fe-SC. Then it was applied to the activation of PMS for the degradation of sulfamethoxazole (SMX) to evaluate its catalytic performance. The results showed that the Fe-SC-900 had the best catalytic effect,and the Fe-SC-900/PMS could degrade 99.8% SMX at 40 min. In addition,the Fe-SC-900/PMS system was able to resist coexisting anions and natural organic matter,which had good potential for practical application. The degradation mechanism experiments showed the presence of ·OH, SO4 ·-, O2 ·- and 1O2 in the Fe-SC-900/PMS system,and 1O2 and SO4 ·- had the major role in the SMX degradation.

Key words: advanced oxidation, peroxymonosulfate, iron-sulfur doped catalyst, antibiotics degradation, sulfamethoxazole

中图分类号: