工业水处理 ›› 2025, Vol. 45 ›› Issue (10): 168-174. doi: 10.19965/j.cnki.iwt.2024-0817

• 试验研究 • 上一篇    

CeO2-C型吸附剂的制备及其除氟性能研究

刘旭1(), 阴鹏超2, 任树行1, 肖宁1()   

  1. 1. 北京化工大学化学工程学院,北京 100029
    2. 大庆油田化工有限公司,黑龙江 大庆 163000
  • 收稿日期:2025-01-27 出版日期:2025-10-20 发布日期:2025-11-05
  • 通讯作者: 肖宁
  • 作者简介:

    刘旭(1995— ),硕士,E-mail:

Preparation and fluoride removal performance of CeO2-C type adsorbent

Xu LIU1(), Pengchao YIN2, Shuhang REN1, Ning XIAO1()   

  1. 1. College of Chemical Engineering, Beijing University of Chemical Technology, Beijing 100029, China
    2. Daqing Oilfield Chemical Co. , Ltd. , Daqing 163000, China
  • Received:2025-01-27 Online:2025-10-20 Published:2025-11-05
  • Contact: Ning XIAO

摘要:

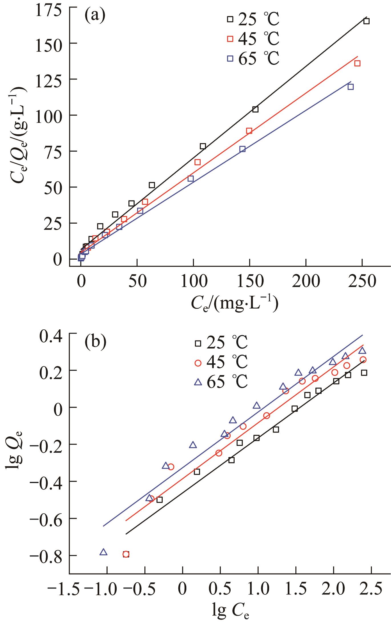
为去除工业废水中较低浓度的氟离子,通过一步浸渍法合成了一种椰壳活性炭负载氧化铈的新型吸附剂(CeO₂-C),并对其制备工艺进行了优化,得到最佳制备工艺条件为Ce3+浓度0.1 mol/L、n(H2O2)/n(Ce3+)=0.5、负载时间10 h、负载固液比(椰壳活性炭载体质量与含铈的负载溶液体积之比)0.1 g/mL。表征结果表明,负载后铈元素均匀分布于椰壳活性炭表面并堵塞其部分孔洞,致使椰壳活性炭的比表面积、孔径、孔体积均略有减少。以优化条件下制备的CeO₂-C吸附剂去除水中质量浓度为10 mg/L的氟离子,结果表明,在最佳除氟条件,即pH=2,吸附固液比(吸附剂质量与模拟含氟溶液体积之比)为30 g/L,吸附时间为90 min条件下,氟离子质量浓度可降至0.18 mg/L,去除率达98.2%。机理研究表明,吸附过程符合Langmuir等温模型(R²>0.99),吸附机制主要为氟离子与羟基(OH⁻)的离子交换作用。

关键词: 除氟, 吸附剂, 氧化铈, 活性炭

Abstract:

To remove low concentrations of fluoride ions from industrial wastewater, a novel adsorbent(CeO2-C) of coconut shell activated carbon loaded with cerium oxide was synthesized by one-step impregnation method, and its preparation process was optimized. The optimal preparation conditions were obtained as Ce3+ concentration of 0.1 mol/L, n(H2O2)/n(Ce3+)=0.5, loading time of 10 h, and loading solid-liquid ratio (the ratio of the mass of coconut shell activated carbon carrier to the volume of cerium-containing loading solution) of 0.1 g/mL. The characterization results indicated that cerium element was uniformly distributed on the surface of coconut shell activated carbon and blocked some of its pores, resulting in a slight decrease in the specific surface area, pore size, and pore volume of coconut shell activated carbon. The CeO2-C adsorbent prepared under optimized conditions was used to remove fluoride ions with a mass concentration of 10 mg/L in water. The results showed that under optimal fluoride removal conditions of pH=2, adsorption solid-liquid ratio (ratio of adsorbent mass to simulated fluorine-containing solution volume) of 30 g/L, and adsorption time of 90 min, the mass concentration of fluoride ions decreased to 0.18 mg/L, and the removal rate reached as high as 98.2%. Mechanism studies showed that the adsorption process conformed the Langmuir isotherm model (R²>0.99), and the adsorption mechanism was mainly the ion exchange between fluoride ions and hydroxyl groups (OH-).

Key words: fluoride removal, adsorbent, cerium oxide, activated carbon

中图分类号: