工业水处理 ›› 2026, Vol. 46 ›› Issue (1): 131-137. doi: 10.19965/j.cnki.iwt.2025-0089

• 试验研究 • 上一篇    下一篇

污泥秸秆基活性炭的制备及其吸附性能分析

陈传帅(), 孙浩程, 回军, 吴巍   

  1. 中石化(大连)石油化工研究院有限公司,辽宁 大连 116041
  • 收稿日期:2025-03-28 出版日期:2026-01-20 发布日期:2026-02-03
  • 作者简介:

    陈传帅(1990— ),博士研究生,助理研究员,E-mail:

  • 基金资助:
    中国石化科技部项目(320131-1)

Preparation and adsorption performance analysis of sludge-straw based activated carbon

Chuanshuai CHEN(), Haocheng SUN, Jun HUI, Wei WU   

  1. SINOPEC Dalian Research Institute of Petroleum and Petrochemicals Co. , Ltd. , Dalian 116041, China
  • Received:2025-03-28 Online:2026-01-20 Published:2026-02-03

摘要:

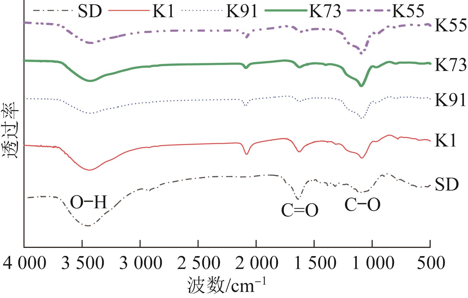
以脱水污泥和水稻秸秆为基底原料,采用热解-活化法制备了高品质的污泥秸秆活性炭,系统探讨了KOH活化剂与水稻秸秆添加量对活性炭成分、孔隙结构、表面形貌及特征官能团的影响,并探究了其对亚甲基蓝(MB)溶液的吸附性能和吸附动力学。结果表明,在干化污泥热解炭与KOH质量比为1∶1,干化污泥与水稻秸秆质量比为7∶3条件下制备的活性炭K73,具备最优的结构和吸附性能。K73的比表面积和孔容分别为1 122.0 m2/g和0.81 cm3/g,属于微孔-介孔复合结构。在初始MB质量浓度为400 mg/L,溶液体积为400 mL,吸附剂投加量为0.2 g条件下,K73对MB的平衡吸附量为769.6 mg/g,吸附过程符合准二级吸附动力学模型,且主要受化学吸附控制。污泥秸秆基活性炭为污泥与秸秆的资源化利用提供了可行路径,在废水处理中展现出良好的应用前景。

关键词: 脱水污泥, 水稻秸秆, 活性炭, 吸附性能

Abstract:

High quality sludge-straw based activated carbon was prepared by pyrolysis-activation method using dehydrated sludge and rice straw as base materials. The effects of KOH activator and rice straw additions on the composition, pore structure, surface morphology, and characteristic functional groups of activated carbon were systematically investigated. The adsorption performance and kinetics of activated carbon on methylene blue (MB) solution were also explored. The results showed that the activated carbon K73, prepared under a mass ratio of 1∶1 between dried sludge pyrolysis carbon and KOH, and a mass ratio of 7∶3 between dried sludge and rice straw, had the optimal structure and adsorption performance. The specific surface area and pore volume of K73 were 1 122.0 m2/g and 0.81 cm3/g, respectively, characterized by a microporous-mesoporous composite structure. Under the conditions of an initial MB mass concentration of 400 mg/L, a solution volume of 400 mL, and an adsorbent dosage of 0.2 g, the equilibrium adsorption capacity of K73 for MB was 769.6 mg/g. The adsorption process followed quasi-second order adsorption kinetics and was mainly controlled by chemical adsorption. Sludge-straw based activated carbon provided a feasible path for the resource utilization of sludge and straw, and had shown good application prospects in wastewater treatment.

Key words: dehydrated sludge, rice straw, activated carbon, adsorption property

中图分类号: