摘要:
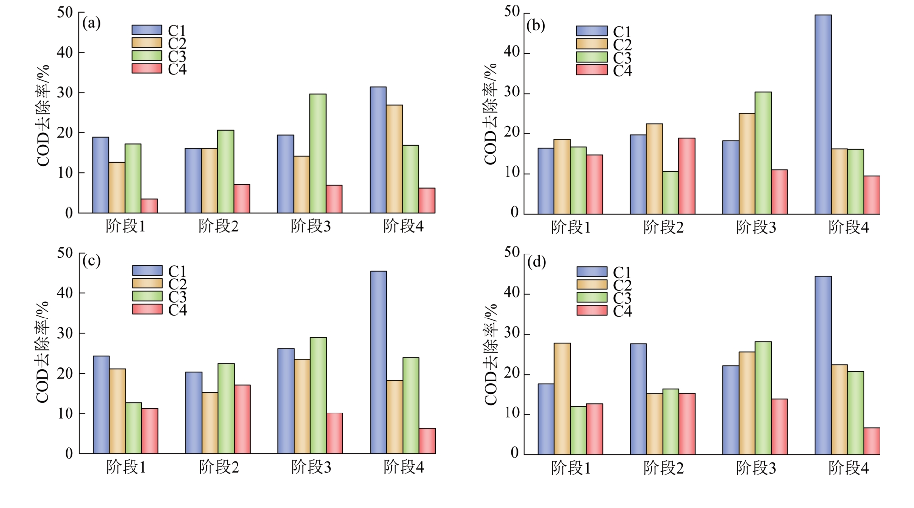
厌氧折流板反应器(ABR)内部设置多级隔室,沿水流方向能够实现反应器产酸和产甲烷的分离,具有良好的运行稳定性和处理效果。填料的投加可以进一步提升ABR的处理效能,但其对ABR生物相分离和微生物群落特性影响的研究很少。通过在ABR中添加弹性填料、流化床填料和空心球填料考察ABR处理效能、生物相分离及微生物菌落的变化情况。结果表明,在进水COD约2 000 mg/L、HRT=8 h时,无填料、弹性填料、流化床填料和空心球填料的ABR第2隔室中挥发性有机酸(VFA)的质量浓度达到最高,分别为795.59、922.92、943.03、916.22 mg/L,反应器出水VFA质量浓度分别为292.97、71.81、45.00、51.70 mg/L,填料的投加有效提高了产酸过程VFA产量及产甲烷过程对VFA的降解。整个运行期间,添加填料的反应器中COD去除率明显高于无填料反应器。当进水COD约1 000 mg/L、HRT=8 h时,无填料、弹性填料、流化床填料和空心球填料的反应器中COD去除率分别为69.63%、84.63%、89.45%和87.85%。ABR各隔室微生物群落结构分析表明,添加流化床填料的ABR前端隔室中微生物群落的丰富度和多样性明显增加。流化床填料的加入促进了细菌Methanothrix和古菌Methanofastidiosum、Methanothrix_B的生长和富集,增强了微生物之间的互营关系,提高了反应器运行稳定性和处理效果。
关键词:
生物填料,
厌氧折流板反应器,
生活污水,
微生物群落,
生物相分离
Abstract:
The anaerobic baffle reactor (ABR) equipped with multi-stage compartments can separate acid production and methane production along the water flow direction, and has good operation stability and treatment effect. The addition of bio-carriers can further improve the efficiency of ABR treatment. However, there are few studies on their effects on bio-phase separation and microbial community characteristics of ABR. Elastic bio-carriers, fluidized-bed bio-carriers, and hollow ball bio-carriers were added to ABR to evaluate the treatment efficiency, bio-phase separation, and microbial community structure changes. The results showed that the concentrations of VFA in compartment 2 of the ABR without bio-carriers, elastic bio-carriers, fluidized-bed bio-carriers, and hollow ball bio-carriers were 795.59 mg/L, 922.92 mg/L, 943.03 mg/L, and 916.22 mg/L, respectively, at the influent COD≈2 000 mg/L and HRT=8 h. The concentrations of VFA in effluent were 292.97 mg/L, 71.81 mg/L, 45.00 mg/L, and 51.70 mg/L, respectively. The addition of bio-carriers effectively improved the VFA production and degradation of VFA in methane production. During the whole operation period, the COD removal rates of the reactors with three bio-carriers were significantly higher than that of the reactor with no bio-carriers. When influent COD≈1 000 mg/L and HRT=8 h, the COD removal rates of no bio-carriers reactor, elastic bio-carriers reactor, fluidized bed bio-carriers reactor and hollow ball bio-carriers reactor were 69.63%, 84.63%, 89.45%, and 87.85%, respectively. The microbial community structure analysis showed that the richness and diversity of microbial communities in front end compartment of the ABR with the addition of fluidized-bed bio-carriers increased significantly. The addition of fluidized-bed bio-carriers promoted the growth and enrichment of Methanothrix, Methanofastidiosum and Methanothrix_B, enhanced the interaction between microorganisms, and improved the operation stability and treatment effect of the reactor.
Key words:
bio-carriers,
anaerobic baffled reactor,
domestic sewage,
microbial community,
bio-phase separation
中图分类号:
徐志友, 沈耀良. 3种生物填料对ABR中生物相分离及微生物群落结构的影响[J]. 工业水处理, 2026, 46(3): 158-167.
Zhiyou XU, Yaoliang SHEN. Effects of three bio-carriers on bio-phase separation and microbial community structure in ABR[J]. Industrial Water Treatment, 2026, 46(3): 158-167.