工业水处理 ›› 2025, Vol. 45 ›› Issue (8): 53-58. doi: 10.19965/j.cnki.iwt.2024-0609

• 试验研究 • 上一篇    下一篇

自然通风式一体化生物反应器耦合AOA模式处理污水

李振华()   

  1. 厦门大学嘉庚学院河口生态安全与环境健康福建省高校重点实验室,福建 漳州 363105
  • 收稿日期:2024-10-21 出版日期:2025-08-20 发布日期:2025-09-25
  • 作者简介:

    李振华(1984— ),博士,副教授,E-mail:

  • 基金资助:
    漳州市自然科学基金项目(ZZ2021J35)

Study on wastewater treatment by integrated bioreactor of natural ventilation in the anaerobic/oxic/anoxic mode

Zhenhua LI()   

  1. Key Laboratory of Estuarine Ecological Security and Environmental Health, Fujian Province, Tan Kah Kee College, Xiamen University, Zhangzhou 363105, China
  • Received:2024-10-21 Online:2025-08-20 Published:2025-09-25

摘要:

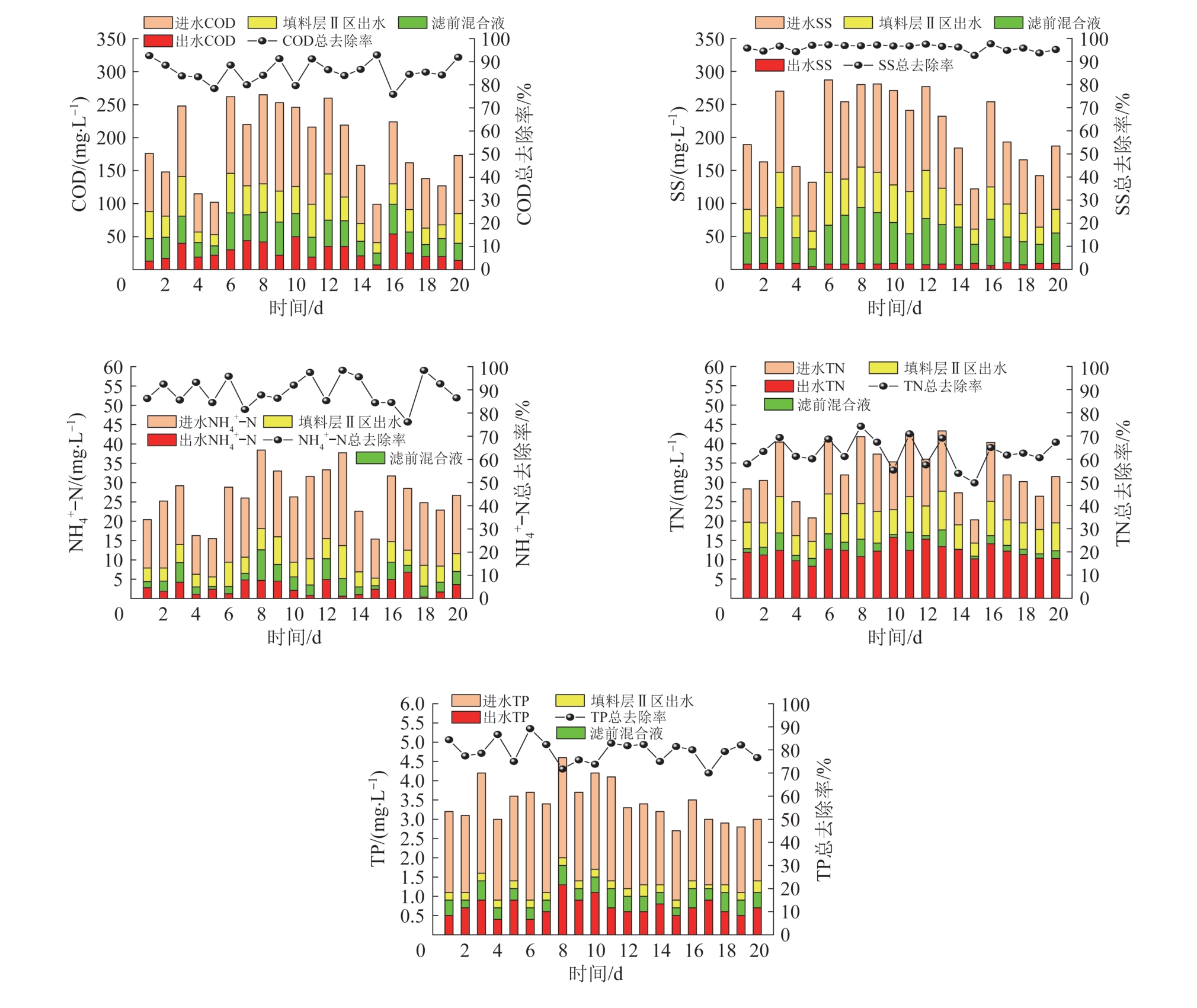
针对我国乡村污水处理存在的高能耗和运维难题,研究构建了自然通风式一体化生物反应器(IBNV),并耦合厌氧/好氧/缺氧工艺,对乡村生活污水进行处理。结果表明,IBNV在进水COD为99~265 mg/L、SS为122~287 mg/L、NH 4 +-N为15.4~38.4 mg/L、TN为20.3~43.3 mg/L、TP为2.7~4.6 mg/L的条件下连续运行,对COD、SS、NH 4 +-N、TN的平均去除率分别为85.71%、95.97%、89.25%、62.83%,满足《城镇污水处理厂污染物排放标准》(GB 18918—2002)一级A标准;对TP的平均去除率为79.33%,基本达到GB 18918—2002一级B标准;在能耗方面,IBNV吨水电耗为0.06~0.08 kW·h,处理成本为0.08~0.10元/t,并在顶部预留了太阳能光伏板和风力发电机安装接口,为IBNV的“零能耗”提供可能。

关键词: 自然通风, 生物反应器, 过滤, 填料

Abstract:

In response to the high energy consumption and operational challenges of rural sewage treatment in China,an integrated bioreactor of natural ventilation(IBNV) with Anaerobic/Oxic/Anoxic process was introduced to enhance the efficiency of domestic sewage treatment in rural areas. The results showed that during the continuous operation of the IBNV under the influent COD 99-265 mg/L,SS 122-287 mg/L,NH 4 +-N 15.4-38.4 mg/L,TN 20.3-43.3 mg/L and TP 2.7-4.6 mg/L,the average removal rates of COD,SS,NH 4 +-N and TN reached 85.71%,95.97%,89.25% and 62.83%,respectively, meeting A standard of the first level of Discharge Standard of Pollutants for Municipal Wastewater Treatment Plant(GB 18918—2002). The average removal rate of TP was 79.33%,which basically met B standard of the first level of GB 18918—2002. The energy efficiency of the IBNV was notable,with an electricity consumption rate of 0.06 to 0.08 kW·h per ton of treated water,corresponding to a cost-effective treatment cost of 0.08 to 0.10 yuan per ton. In addition,the top of the IBNV was designed with interfaces for installing solar photovoltaic panels and wind turbines,providing the possibility for achieving self-sufficiency of energy in future.

Key words: natural ventilation, bioreactor, filtration, filling

中图分类号: